GET THE APP

Influence of Polymorphisms on Mycophenolate Mofetil - Induced Diarrhoea in Renal Transplanted Children
Molecular and Genetic Medicine

Molecular and Genetic Medicine

ISSN: 1747-0862

Open Access

Research Article - (2020) Volume 14, Issue 4

Influence of Polymorphisms on Mycophenolate Mofetil - Induced Diarrhoea in Renal Transplanted Children

Lancia P1, De Beaumais T1, Dossier C2, Baudouin V2, Ulinski T3, Deschênes G2 and Jacqz-Aigrain E1,4,5*
*Correspondence: Jacqz-Aigrain E, Clinical Investigation Center CIC1426, INSERM, Robert Debré Hospital, 48 bd Serurier 75019, Paris, France, Email:
1Department of Pediatric Pharmacology and Pharmacogenetics, Robert Debré Hospital, 48 bd Serurier 75019, APHP, Paris, France
2Department of Pediatric Nephrology, Robert Debré Hospital, 48 bd Serurier 75019, APHP, Paris, France
3Department of Pediatric Nephrology, Armand Trousseau Hospital, 26 rue du Dr. Arnold Netter 75012, APHP, Paris, France
4Clinical Investigation Center CIC1426, INSERM, Robert Debré Hospital, 48 bd Serurier 75019, Paris, France
5Paris Diderot University Sorbonne Paris Cité, Paris, France

Received: 22-Jul-2020 Published: 07-Aug-2020 , DOI: 10.37421/1747-0862.2020.14.460
Citation: Lancia Pauline, T De Beaumais, Claire Dossier and Véronique Baudouin, et al. “Influence of Polymorphisms on Mycophenolate Mofetil - Induced Diarrhoea in Renal Transplanted Children.” J Mol Genet Med 14 (2020): 460 doi: 10.37421/jmgm.2020.14.460.
Copyright: © 2020 Lancia P, et al. This is an open-access article distributed under the terms of the Creative Commons Attribution License, which permits unrestricted use, distribution, and reproduction in any medium, provided the original author and source are credited.

Abstract

Purpose: The objective of this study was to investigate the factors involved in mycophenolate mofetil (MMF) disposition on the risk of diarrhoea in renal transplanted children.

Methods: Patients’ characteristics, immunosuppression and polymorphisms of UGT1A8, UGT1A9, UGT2B7, ABCC2, IMPDH1, and IMPDH2 genes were explored. Statistical analyses were performed using logistic regression.

Results: Eighty three renal transplanted patients were included and 28/83 (33%) developed diarrhoea requiring MMF discontinuation or switched to the enteric-coated formulation EC-MPS during follow-up. In the multivariate analysis, the risk of diarrhoea was significantly higher in ABCC2 -24CC wild-type patients carrying IMPDH2 IVS7 + 10 T>C variant.

Conclusion: IMPDH2 (IVS7+10T>C) and ABCC2 (c.-24C>T) are biomarkers associated with diarrhoea in children treated with MMF.

Introduction

Mycophenolate mofetil (MMF), the prodrug of mycophenolate acid (MPA), is an anti-proliferative agent used in paediatric renal transplantation as immunosuppressive drug combined with calcineurin inhibitors (cyclosporine or tacrolimus) and corticosteroids. After oral administration, MMF is rapidly de-esterified in the stomach resulting in two compounds, N-[2-hydroxyethyl]- morpholine and acid mycophenolic (MPA), a potent, selective, uncompetitive and reversible inhibitor of Inosine 5’-Monophosphate Deshydrogenase (IMPDH). This enzyme is involved in the de novo pathway of guanosine nucleotides synthesis in B and T lymphocytes and exists in two isoforms, IMPDH1 and IMPDH2. MPA affinity has higher for the IMPDH2 isoform which is expressed in activated T and B lymphocytes [1].

MMF is metabolised to inactive MPA-phenyl-glucuronide (MPAG), mainly by UGT1A9 in the liver, kidney, gastrointestinal tract and by UGT1A7, 1A8 and 1A10 in the enterocytes. The majority of MPAG is excreted by the kidney but to a lesser extent into the bile via MRP2 (ABCC2 gene) and BCRP (ABCG2 gene) and then deconjugated into MPA by intestinal bacterial flora, through enterohepatic circulation. UGT2B7 is also involved in the metabolism of MPA producing, in the liver and the intestine, the acyl glucuronide (AcMPAG), a pharmacologically active metabolite, potentially toxic [2,3] (Figure 1).

Figure 1: Metabolism of mycophenolate mofetil.

MMF is frequently associated with digestive disorders, in particular diarrhoea, after transplantation resulting in non-compliance, MMF discontinuation or a switch to the enteric-coated formulation of mycophenolate sodium (EC-MPS), delaying the absorption of MPA [4,5]. Stopping MMF or reducing dosage have been associated with an increased risk of acute rejection and graft loss [6,7]. Gastrointestinal disorders are more frequent in renal transplanted children compared to adults (54.5% versus 21.6% respectively) but their mechanism of diarrhoea has not been elucidated yet [8].

The aim of this study was to investigate, the potential impact of pharmacogenetic variants affecting MMF disposition and effect in the occurrence of diarrhoea in renal transplanted children. Polymorphisms of the genes encoding 1) enzymes involved in MPA metabolism (UGT1A8, UGTA9, UGT2B7), 2) efflux transporter involved in the biliary excretion (ABCC2), 3) MPA target (IMPDH1 and IMPDH2) were analysed.

Research Methodology

Study design

The present study included all children who had a renal transplantation between 2004 and 2014 in the department of Paediatric Nephrology - Robert Debré hospital and received MMF since transplantation a part of their immunosuppressive regimen. Children were excluded from the study if : 1) it was a second transplantation, 2) MMF was not part of the initial immunosuppressive regimen, 3) the associated anti-calcineurin changed during the observation period 4) consent from both parents was not obtained for genetic testing.

Data were collected from the day of transplantation to identify the cases corresponding to patients who developed digestive pain or episodes of diarrhoea and the control patients. According to our management procedure, patients who develop digestive disorders while receiving MMF are discussed during staff meetings and MMF discontinuation decided upon medical decision, after 8 to 10 days of symptomatology, also based on clinical examination. Cases were defined as patients who had MMF discontinuation and controls included all patients who did not experience this side effect during the follow-up period of 4 years. Approval was obtained from the local Ethics Committee according to the French Law (CEERB-RD 2014/288). Informed consent was obtained from all individual participants included in the study.

The following variables were collected for all patients, from medical records: age, gender, weight, body mass index (BMI, mg/m2), underlying disease, date of transplantation, donor status (deceased or alive), number of mismatches between donor and recipient, initial immunosuppressive regimen and initial doses, number of rejection episodes during MMF therapy. Blood sample required for genotyping was drawn as the same time as for routine monitoring or during pre-transplant consultation. Informed consent was obtained from both parents of all our patients.

The initial immunosuppressive regimen included induction therapy with anti-lymphocyte serum or monoclonal antibodies, MMF and tacrolimus or cyclosporine and corticosteroids. MMF was initiated at the dose of 600 mg/ m2 twice a day (BID) and dose adjustments based on monitoring of MPA concentrations. Dosage adjustment was based on a through MMF level of 30-60 μg.h/mL. Concentrations of tacrolimus or cyclosporine/MMF were also monitor for dosage adjustments.

Genotyping

Genomic DNA was isolated from peripheral blood samples using QIAsymphony (Qiagen, Courtaboeuf, France) and quantified using Nanodrop to ensure sufficient concentration and stored at -20°C in the Pharmacogenetic department of Robert Debré hospital for further investigations. Genotyping was performed using Real Time PCR Allelic Discrimination (TaqManTM Applied Biosystem, Abi Prism 7900HT, ThermoFisher, California, US). All patients were genotyped for the following SNPs using Applied Biosystem genotyping kits according to manufacturer instructions: UGT1A8*2 c.-518C>G, (rs1042597); UGT1A9 c.-2152C>T (rs17868320); UGT2B7 c.-900G>A (rs7438135), ABCC2 c.-24C>T (rs717620); IMPDH1 (rs2278294); IMPDH2 IVS7 + 10 T>C (rs11706052). Genotypes are missing for technical reasons in one patient.

Statistical analyses

Statistical analyses were performed using IBM SPSS statistic v24.0. Categorical variables were described as numbers and percentages and continuous variables as mean and standard deviation (SD). Deviations from the Hardy-Weinberg equilibrium were assessed using the Fisher exact test. Differences between groups were considered significant when bilateral P values were < 0.05.

Due to the impact of the variants on protein activity, homozygous mutated patients were combined with heterozygous for univariate and multivariate analysis when the frequencies of the minor allele were low.

The potential impact of variables on the occurrence of diarrhoea was first investigated using univariate binary regression analysis. Incidence of diarrhoea according to genotype was estimated by Kaplan Meier analysis, for variants with a p-value ≤ 0.1 in the univariate analysis. The difference of disease free survival between the groups across genotypes was examined by log-rank test.

In the multivariate analysis of factors potentially associated with the risk of diarrhoea, all variables with P-value less than 0.1 in the univariate analysis were included along with the type of anti-calcineurin (Tac/CsA). The variable included in final model was selected by a backward stepwise selection process (variables with a P-value < 0.1 were retained in the model). Receiver operating characteristics (ROC) curve analysis was used to predict the risk of diarrhoea. A P-value < 0.05 was considered statistically significant and 95% confidence intervals are provided when relevant.

Results

Study population

A total of 134 renal transplanted children were identified from 2004 to 2014 and 51 were excluded: 4 had a previous renal transplantation, data were missing for 40 and 7 were switched from tacrolimus to cyclosporine during follow-up (due to acute rejection or cosmetic effects). Finally, 83 renal transplanted children were included in the study and analysed in two groups.

Group 1 includes 28 (33.7%) patients who develop severe diarrhoea resulting in MMF discontinuation and were switched to EC-MPS (n=25), everolimus (n=1) or azathioprine (n=2). The mean MMF dose at the time of MMF discontinuation was 1014 ± 474 mg/m2/day. Follow-up was 0.6 ± 0.7 years. Group 2 includes 55 patients, who did not experience any digestive disorder for a follow-up period of 2.5 ± 1.1 years.

Patients’ characteristics including genotype in the two groups are presented in Table 1. There was no difference between the two groups for the demographic variables (age, sex, BMI), number of mismatches, donor status (P > 0.05) (Table 2).

Variables Cases (n=28) Controls (n=55) Statistical test
Gender (boys/ girls) 19 (67.9%)/9 (32.1%) 32 (58.2%)/23 (41.8%) NSa
Age (years) 10.5 ± 4.6 11.1 ± 5.4 NSb
Weight (kg) 32.9 ± 15.8 35.2 ± 16.6 NSb
BMI (kg/m2) 17.8 ± 3.3 18.0 ± 2.8 NSb
Mismatches (n, %)      
0 0 1 (1.8%) NSa
1-2 7 (26.9%) 10 (18.2%)
3-4 17 (65.4%) 41 (74.5%)
>4 2 (7.7%) 3 (5.5%)
Donor status (deceased, n, %) 19 (73.1%) 40 (78.4%)
Number of acute rejections (n, %)      
0 23 (82.1%) 34 (61.8%) NSa
1-2 5 (17.9%) 19 (34.5%)
>2 0 2 (3.6%)
Treatment    
Initial doses MMF (mg/m2/day) 1232.6 ± 444.3 1270 ± 529.7 NSb
CsA/Tac during follow up 3 (10.7%)/ 25 (89.3%) 15 (27.3%)/40 (72.7%) NSa
Genotype      
UGT1A8*2 rs1042597      
CC 18 (64.3%) 35 (63.6%) NSa
CG 8 (28.6%) 17 (30.9%)
GG 2 (7.1%) 3 (5.5%)
UGT1A9 rs178868320      
CC 26 (92.9%) 50 (90.9%) NSa
CT 1 (3.6%) 5 (9.1%)
TT 1 (3.6%) 0
UGT2B7 rs7438135      
GG 2 (7.4%) 15 (27.3%) P<0.05a
GA 13 (48.1%) 24 (43.6%)
AA 12 (44.4%) 16 (29.1%)
ABCC2 rs717620      
CC 21 (75.0%) 31 (56.4%) P<0.05a
CT 6 (21.4%) 21 (38.2%)
TT 1 (3.6%) 3 (5.5%)
IMPDH1 rs2278924      
CC 23 (82.1%) 41 (74.5%) NSa
CT 5 (17.9%) 14 (25.5%)
TT 0 0
IMPDH2 rs11706052      
TT 22 (78.6%) 53 (96.4%) P<0.05a
TC 6 (21.4%) 2 (3.6%)
CC 0 0

Table 1. Demographics, treatment, and genetic characteristics of patients.

There was no difference between the 2 groups in the number of patients treated with tacrolimus or cyclosporine (n=25/65, 38.5% versus n=3/18, 16.7%, respectively) or in the MMF doses (1031 ± 503 mg/m2/day versus 800 ± 0.01 mg/m2/day), when diarrhoea occurred. However, modifications of treatment due to diarrhoea tend to occur later in patients receiving cyclosporine than in patients co-treated with tacrolimus but the difference was not significant (0.3 [0.1 – 1.7] years versus 0.2 [0.03 – 2.7] years, P > 0.05).

Diarrhoea and pharmacogenetic biomarkers of MMF disposition

According to univariate logistic regression, there was no association between severe diarrhoea and UGT1A8, UGT1A9, IMPDH1 gene variants (Table 2). In contrast, variants of UGT2B7, IMPDH2, ABCC2 genes were associated with the occurrence of diarrhoea. The analysis of UGT2B7 -900G>A variants showed that heterozygous (OR=4.1, 95%, CI=0.8- 20.6, P=0.05) and homozygous (OR=5.6, 95%, CI=1.1-29.4, P=0.04, respectively) mutated patients were at higher risk to develop diarrhoea requiring treatment modification that wild-type patients (n=82).

Covariates Category OR (95% CI) P-value
Age (years) Per unit increase 0.98 (0.89 – 1.7) 0.60
Gender Boys vs. girls 0.66 (0.25 – 1.72) 0.39
BMI (kg/m2) Per unit increase 0.97 (0.83 – 1.14) 0.73
Donor status Deceased vs. not deceased 1.34 (0.45 – 4.0) 0.60
Mismatches Per unit increase 0.79 (0.49 – 1.28) 0.33
Doses MMF (mg/m2/day) Per unit increase 1.00 (1.00  - 1.00) 0.74
UGT1A8*2 rs1042597 CC vs. CG/GG 0.97 (0.38 – 2.51) 0.95
UGT1A9 rs178868320 CC vs. CT/TT 0.77 (0.14 – 4.24) 0.76
UGT2B7 rs7438135 GG vs. GA 4.06 (0.80 – 20.6) 0.05
  GG vs. AA 5.63 (1.08 – 29.4) 0.04
ABCC2 rs717620 CC vs. CT/TT 0.43 (0.16 – 1.18) 0.10
IMPDH1 rs2278924 CC vs. CT 0.64 (0.20 – 1.99) 0.44
IMPDH2 rs11706052 TT vs. TC 7.23 (1.35 – 38.6) 0.02

Table 2. Univariate logistic regression of potential risk factors of diarrhoea.

There was no homozygous mutated (CC) patients for the variant IMPDH2 IVS7 + 10 T>C, but heterozygous had a risk 7.3 times higher than wild-types (95% CI 1.4-38.7; P=0.02). By contrast, the risk of diarrhoea was increased in wild-type ABCC2 -24CC patients compared to carriers of mutated allele ABCC2 -24T but the difference was not significant (P=0.10).

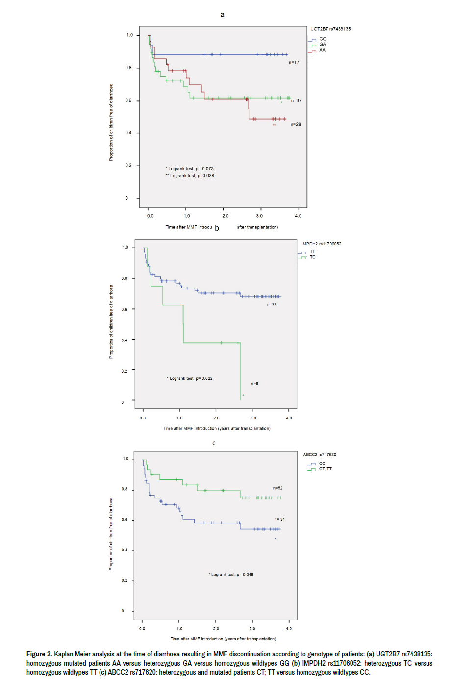
In group 1 of patients presenting with diarrhoea, Kaplan Meier analysis showed a higher incidence in carriers of UGT2B7 -900G>A variant compared with wild-types (Log-rank test, P=0.028 and P=0.073 for homozygous AA and for heterozygous GA respectively) (Figure 2a). Similar results were observed for heterozygous patients for the variant IMPDH2 IVS7 + 10 T>C (Figure 2b) (log-rank test, P=0.022). Kaplan Meier analysis also demonstrated that incidence of diarrhoea was higher in wild-type ABCC2 24CC compared to carriers of one mutated allele T (P=0.048) (Figure 2c). The incidence of the different other SNPs in UGT1A8, UGT1A9 and IMPDH1 was not different between the two groups (log-rank test, P > 0.05) (data not shown).

Multivariate analysis

Figure 2: Kaplan Meier analysis at the time of diarrhoea resulting in MMF discontinuation according to genotype of patients: (a) UGT2B7 rs7438135: homozygous mutated patients AA versus heterozygous GA versus homozygous wildtypes GG (b) IMPDH2 rs11706052: heterozygous TC versus homozygous wildtypes TT (c) ABCC2 rs717620: heterozygous and mutated patients CT; TT versus homozygous wildtypes CC.

The multivariate analysis included the 3 genotypes IMPDH2 IVS7 + 10 T>C, UGT2B7 -900G>A and ABCC2 -24C>T, significantly associated with the risk of diarrhoea in Kaplan Meier analysis and the calcineurin inhibitor (either cyclosporin or tacrolimus) already identified as risk factor was added. The final model retained the type of calcineurin inhibitors and two genotypes IMPDH2 IVS7 + 10 T>C and ABCC2 -24C>T, as shown in Table 3.

Covariates Category B ES Wald OR ( 95% CI) P-value
Tac vs. CsA - -1.273 0.721 3.112 0.28 (0.068 – 1.15) 0.078
IMPDH2 rs11706052  TC vs. TT 2.106 0.922 5.223 8.22 (1.35 – 50.0) 0.022
ABCC2 rs717620  CC versus CT;TT 1.317 0.592 4.949 3.73 (1.17 – 11.9) 0.026

Table 3. Mutivariate logistic regression analysis.

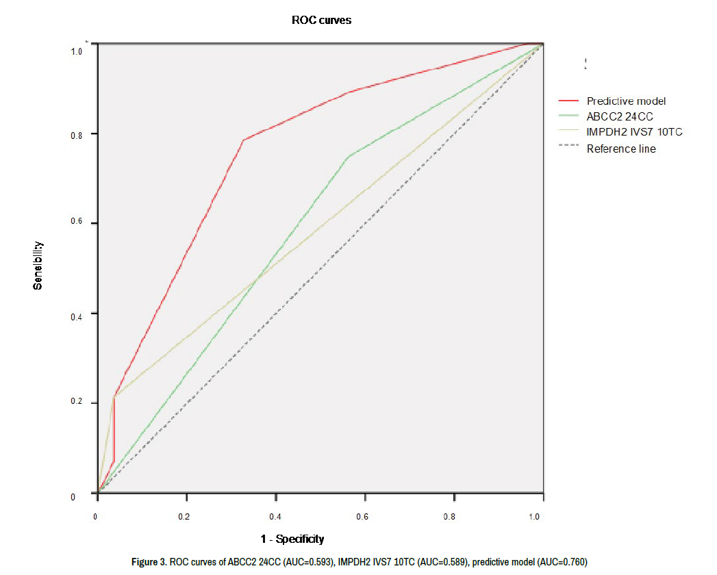
The AUCs of the ROC curves, calculated to evaluate the ability to predict diarrhoea were 0.589 and 0.593, for carriers of the variant IMPDH2 IVS7 + 10 T>C and for homozygous patients ABCC2 -24CC respectively (Table 4). When patients carrying ABCC2 24CC genotype and one IMPDH2 IVS7 +10TC allele, the ROC AUC was 0.760 (P < 0.0001) (Figure 3).

Figure 3: ROC curves of ABCC2 24CC (AUC=0.593), IMPDH2 IVS7 10TC (AUC=0.589), predictive model (AUC=0.760)

Variables AUC SE P-value 95% CI
Lower Upper
ABCC2 24 CC 0.593 0.065 0.167 0.466 0.720
IMPDH2 IVS7 + 10TC 0.589 0.069 1.187 0.453 0.725
Both genotypes 0.760 0.055 <0.0001 0.652 0.868

Table 4. Predictive model of the risk of diarrhoea.

Discussion

This pilot study investigated the factors potentially associated with the risk of diarrhoea during MMF treatment in renal transplanted children. We demonstrated that carrier of the IMPDH2 IVS7 + 10 T>C variant and homozygous wildtypes for ABCC2 -24C had a higher risk to develop diarrhoea.

Digestive disorders and predominantly diarrhoeas are frequent after renal transplantation in patients receiving MMF as part of immunosuppression regimen and result in dehydration, weight loss, increased creatinine concentrations and fluctuations in immunosuppressive concentrations. These consequences influence graft outcome and patients survival [9,10]. In this paediatric population, diarrhoea occurred in 33.7% of children, as already reported to previous studies [11,12]. In clinical practice, MMF is usually stopped and either switch to enteric-coated mycophenolate sodium (ECMPS) or interrupted and immunosuppression regimen modified. EC-MPS is an enteric preparation of MMF with a significant benefice on digestive disorders, when compared to MMF [13-15]. In rats, the administration of EC-MPS reduced gastro-intestinal injury compared to MMF and the authors suggested such observation to be related to differences in the pharmacokinetics of the two formulations [16]. The recommended dosage of MMF is 600 mg/m2 in children over 2 years of age twice daily. Data on pharmacokinetics, efficacy and safety of EC-MPS are sparse in children and adolescents; however, use in first line immunosuppression is becoming more frequent at the initial paediatric oral dose of 600 mg/m2 twice a day [17-19].

Many hypotheses have been made to elucidate the mechanisms of MMF digestive disorders, 1) MPA may have a direct impact on enterocytes, by inhibiting IMPDH, by modulating the local immune response with an increased susceptibility to infections and oxidative stress or through local metabolism, 2) when administered orally, MMF is hydrolysed by carboxylesterases (CES- 2) to MPA and one of them, the N- (2-hydroxytethyl) morpholine, may cause local irritation of the intestinal wall, 3) The MPA glucuroconjugate metabolite, AcMPAG formed by UGT2B7 and UGT1A9 may contribute to toxicity by stimulating interleukin-6 and tumor necrosis factor alpha [20-23].

Interindividual differences in drug disposition resulting in high exposure and the potential role of genetic and clinical factors influencing the pharmacokinetics of MMF have been investigated but results remain contradictory. To our knowledge, very few studies searched for risk factors, including patients’ characteristics and pharmacogenetic variants known to influence MMF metabolism and disposition and the occurrence of severe diarrhoea requiring modifications of MMF treatment. Age, gender, donor characteristics, mismatches were not associated with occurrence of diarrhoea in this study. The potential role of the anti-calcineurin, either cyclosporine or tacrolimus has been extensively investigated. Similarly to previous studies, MMF tends to be more frequently discontinued because of severe diarrhoea in children cotreated with tacrolimus than with cyclosporine even though the doses of MMF did not differ between the two groups [24-26]. Cyclosporine is known to inhibit MRP2 (encoded by ABCC2 gene) reducing the MPAG excretion by decreasing enterohepatic recirculation and increasing metabolites concentrations [27]. In addition, cyclosporine reduces MPA bioavailability by approximately 20% in treated patients while increased MPA trough concentrations and AUCs were observed in patients co-treated with tacrolimus, suggesting a role of tacrolimus entero-hepatic recirculation and higher exposure in wild-type ABCC2 patients [28-30]. However, although significant in the univariate analysis, the type of anti-calcineurin was not retained in the multivariate analysis. Additional drugs are known to influence the pharmacokinetics of MMF: Proton pump inhibitors reducing MMF bioavailability, anti-acids impacting metabolism/entero-hepatic cycle, corticosteroids promoting activation of UGT genes [17].

In this study, the impact of SNPs known to be involved in the MPA metabolic pathways and influencing the MMF clinical outcomes has been investigated. UGTs and ABCC2 genes encode enzymes involved in MPA metabolism whereas IMPDH1/2 plays a central role in the pharmacodynamic of MMF. Previous studies have shown a significant association between gastro-intestinal disorders under MMF therapy and UGTs (1A8*2, UGT1A9 c.- 2152C>T) or ABCC2 (c.-24C>T) variants in adult renal transplanted patients or IMPDH1 in cardiac transplanted children [11,31-34]. In addition, the potential impact of different variants on the pharmacokinetics or pharmacodynamics of MMF is also reported. Indeed, Winnicki et al. showed a reduced MMF activity on lymphocytes in healthy voluntary adult carriers of the IMPDH2 IVS7 + 10 T>C, rs11706052 [35]. Gene variants of UG2B7 gene are known to play a role in the pharmacokinetics of MPA but data on UGT2B7 c.-900G>A are limited. A recent published review summarized the SNPs influencing the MMF clinical outcomes and supports the selection of these SNPs in our study [36].

This is the first report showing those renal transplanted children who carried the mutated allele IMPDH2 IVS7 + 10 T>C have a higher risk of diarrhoea than wild-type patients. This variant is associated with an increased IMPDH2 activity [41] and an 50% inhibition of the antiproliferative effect of MPA on lymphocytes [35,37]. The mechanism explaining diarrhoea in carriers of this variant need to be elucidated.

We also report that children carriers of mutated allele ABCC2 -24T had a reduced risk to develop diarrhoea. ABCC2 gene encodes MRP2, an organic anion transporter involved in the enterohepatic circulation of MPA and its metabolites. In the literature, results are contradictory as this variant either increased or decreased ABCC2 expression or activity [31,38]. The incidence of gastro-intestinal disorders and diarrhoea was higher in carriers of ABCC2 -24T allele, but here again these results need to be confirmed [39,40].

Similarly to Yang et al., the occurrence of diarrhoea is higher in renal transplanted children carriers of UGT2B7 -900G>A, but this variant was not retained in the multivariate analysis. The impact of this variant might be related to the significantly higher AcMPAG levels [33,41]. This would need to be further investigated, as the number of children tested here is relatively low. The following UGT variants, namely UGT1A8*2 and UGT1A9 -2152C>T, involved in MMF metabolism had no impact on the occurrence of diarrhoea [12,42-45].

Study Limitations

Only severe cases were selected, defined as requiring discontinuation of MMF with possible underestimation of the real incidence of this adverse event. Potential additional risk factors were not analysed : 1) ethnicity, resulting from the difference of metabolism between Caucasians and Americans, Africans, 2) associated medications that, besides immunosuppressants, are always variable and information difficult to collect, 3) associated diseases, such as diabetes mellitus modifying IMPDH2 activity; 4) renal function as renal insufficiency modifies enterohepatic recirculation, alters the binding and elimination of MPAG, 5) MPA exposure and cumulated doses of MMF were not analysed but exposure was monitored to maintain MPA in the recommended therapeutic range (30-60 μg.h/mL) [46-51]. Future studies in a larger population will have to consider all these factors [52].

Conclusion

This exploratory study demonstrates that homozygous ABCC2 -24CC carriers of the IMPDH2 IVS7 + 10 T>C variant and treated with either cyclosporine or tacrolimus has an increased risk of diarrhoea after renal transplantation. Taking the biomarkers into account could reduce the incidence of severe diarrhoea after renal transplantation. Many drugs that are substrates of MRP2, may increase this risk when given in association. It is far too early to recommend genotyping before transplantation but if our data are confirmed, it will contribute to select an adequate immunosuppressive therapy with cyclosporine and EC-MPS to reduce the risk of gastrointestinal disorders.

Acknowledgments

P. Lancia, T. Adam de Beaumais, E. Jacqz Aigrain designed the study. The authors thank Dr. C. Dossier and V. Baudouin in department of Pediatric Nephrology - Robert Debré hospital for her help in study organisation, Yves Medard, Department of Pediatric Pharmacology and Pharmacogenetics – Robert Debré Hospital for technical expertise in molecular biology and Pr. T Ulinski, Department of Pediatric Nephrology – Trousseau Hospital for his collaboration.

Funding

This study was partially supported by the European Union Seventh framework Programme FP7/2007-2013-Global Research in Paediatrics Network (Grant No. 261060).

Conflict of Interest

All authors declare no conflict of interest.

Ethical Approval

All procedures were in accordance with the ethical standards of the institutional and/or national research committee and with the 1964 Helsinki declaration and its later amendments or comparable ethical standards. The project fulfils the requirement of the “Commision Nationale Informatique et Liberté” (2014), and approval was obtained from the local Ethics committee CEERB (2016/287).

References

Google Scholar citation report
Citations: 3919

Molecular and Genetic Medicine received 3919 citations as per Google Scholar report

Molecular and Genetic Medicine peer review process verified at publons

Indexed In

 
arrow_upward arrow_upward