GET THE APP

Synthesis and Study the Optical Properties of some Polydiacetylenes (PDA)
Journal of Material Sciences & Engineering

Journal of Material Sciences & Engineering

ISSN: 2169-0022

Open Access

Research Article - (2021) Volume 10, Issue 6

Synthesis and Study the Optical Properties of some Polydiacetylenes (PDA)

Sahar Abdul Ghani1, Jameel M. A. Sulaiman2* and Ammar AG. Alhamdani2
*Correspondence: Jameel M. A. Sulaiman, University of Mosul, Iraq, Email:
1University of Mosul, Iraq
2University of Mosul, Iraq

Received: 07-Jun-2021 Published: 28-Jun-2021

Abstract

Three types of new polydiacetylenes were synthesized; {poly 6-butanoxy-2, 4-hexadiyne ether (A)}, {poly 1-oxydodecayle – 10, 12-docosadiyane 1, 22-diate (B)}, and {polymer poly 10, 12-docosadiyane 1, 22-4, 4-diamido azo benzene (C)} by using spinning technique thin films were grown on glass substrate. The optical properties were characterized it is found that the measured permeability spectra were high value in the visible and near IR wavelength region. The results showed that the values of optical energy gap for the polymer poly 10, 12-docosadiyane 1, 22-4, 4-diamido azo benzene C is less than the values of A and B. In addition, it is found that the permeability and optical gap decreased with increasing the thickness of thin films.

Keywords

Polymers • Optical properties • Thin films • Polydiacetylenes (PDA)

Introduction

Polydiacetylene (PDA) materials have described by distinct optical properties that are simply visible by the eye, while their energy through a chromatic variation starting blue to red depend to temperature, and molecular binding, [1]. The Polydiacetylene materials has some benefits detecting used when it is rising in their natural combination of superficial optical features and simple creation in self-collected systems, [2]. The optical properties of Polydiacetylene were described by variations in the absorption spectrum and intensity of light [3,4], also the optical study help to measure bundled structure to the semiconductors and the same property compound materials, and it is determined the optical energy gap direction from the electronic transition between the equivalent and conduction bonds. The measure of permeable spectrum for the materials has great importance to describe their physical properties of the materials, [5]. These kinds of polydiacetylenes have wide implementations in many fields, they are used in the field of preparing semiconductors, [6] have argued that the electric properties of the poly-1,1, 6, 6-tetrapheny thexadinediamine were give a high stability with the time during the electric current. The polydiacetylenes widely used in some electro-optical operations, they are found that these (PDA) films showed attractive properties through the conjugation between their optical, structural, and mechanical properties, [7]. Moreover, polydiacetylenes were used in the field of electronics, [8], developed a display system depending upon using successive polydiacetylenes called thermochromic PDA. However, studies stated that the polydiacetylenes have an optical activity as they were used in many optical applications, [9]. In this study measured the spectrum of permeability as a function of the wavelength in scope (300-1000 nm) to three different chemical structures of polydiacetylenes symbolized as A, B, and C after precipitated them on glass substrata in the form of thin films with different thicknesses by spinning method.

Method

Raw materials

The chemical materials were used; sodium hydroxide, 4-hexadiyne-1, 6-diol, 1, 4-dichlorobutan, dimethyl sulphoxide, hydrochloric acid, are bought from the following international companies: Sigma-Aldrich, BDH, Fluka, and Alfa Asear.

Materials preparation

{Poly 6-Butanoxy-2, 4-Hexadiyne Ether (A)}: Synthesis of {Poly 6-Butanoxy-2, 4-Hexadiyne Ether (A)} start by, Sodium hydroxide (0.04 mol, 1.6 gm) was dissolved in (30 cm3) of water, " 4-hexadiyne-1,6-diol" (0.02 mol, 2.2 gm) was added with stirring, "1, 4-dichlorobutan" (0.02 mol) was added drop by drop, the mixture was stirring in the RT for 30 min, "dimethyl sulphoxide" (50 cm3) was added to mixture with stirring for (24) hours, then the solvent removed under reduced pressure at temperature (40°C-50°C), the residue wash by (20 cm3) distilled water, (10 cm3) methanol, (10 cm3) distilled water, (5%) hydrochloric acid, (10 cm3) distilled water and acetone consequently the polymer leave to dry, it was resulted (51%) a dark yellow precipitate has melting point (254-285 m). polymer (A), [10].

{poly 1-oxydodecayle – 10, 12-docosadiyane 1, 22-diate (B)}: Synthesis of {poly 1-oxydodecayle – 10, 12-docosadiyane 1, 22-diate (B)} begin with (0.02 mol) dodecane "1,12-diol, (0.0063 mol, 1.3 gm) (DCC)", (0.003 mol, 0.367 gm) (DMAP) and (0.003 mol, 1.1 gm) "10, 12-Docosadiyne-1," and "22 – dioic were mixed in RBF, (100 cm3) dry DCM" was added, the mixture was stirrer under nitrogen atmosphere for 24 hours faraway light, the mixture was filtered after cool, twice (10 cm3, 25 cm3) of water and ethanol were used wash respectively, (2.0 gm) anhydrous magnesium Sulphate was added and leave in the freezer for 8 hours, the solution is filtered using the Bochner funnel, and the solvent is evaporated using the rotary evaporator to obtain the polymer in a yellow sticky substance with yield of 60%.(polymer B), [11].

{{polymer poly 10, 12-docosadiyane 1, 22-4, 4-diamido azo benzene (C)}: Synthesis of {{polymer poly 10, 12-docosadiyane 1, 22-4, 4-diamido azo benzene (C)} “(E)-4,4-(diazene-1,2-diyl) dianiline" (0,0022 mol, 0.4 gm) and (0.88 gm, 0.0022 mol) "docosa-10,12-diynedioyl dichloride" were dissolved in (10 cm3) dry THF each alone, they were mixed slowly,(0,005 mol, 0, 7 cm3, 0.51 gm) TEA dissolve in (5 cm3) of dry THF, it was added drop by drop, the mixture was stirrer under nitrogen atmosphere for 3 hours faraway light, evaporate the solvent using rotary evaporator and wash the remaining amount in the flask with (20 cm3) of water and (20 cm3) of ethanol twice to obtain (0.85 gm) a purple precipitate as a yield (63%), discovered that to be not melting even in (300°C), [12].

Synthesis of thin films

The thin films were prepared with different thicknesses from the di acetylene polymers (A, B, and C). Whereas they were “dissolved in DMSO, chloroform, DMSO respectively". Spin coating was used to precipitate these solutions at different times on glass substrates with dimensions of (2.5 cm × 2.5 cm) after cleaning and washing the powder with distilled water, ethanol and acetone respectively, dried with hot air and special filter paper, then the prepared models are placed in an electric oven at 60 C° for half an hour to discard the solvent as far as possible, thereby the samples of films were obtained for each of these substances and different thicknesses, where the thickness of the film is estimating from the following relation; [13]:

t=m/(ρ A) ………(1)

Where:

T=thickness, ρ=density, A=the area of the thin film precipitated on the slide surface.

The optical measurements of the wavelength range (300 – 1000 nm) were slow by measuring the absorbance and permeability of the synthesized film using the spectrophotometer" (Shimadzu double beam UV Visible/UV180). The absorption and absorption coefficient are studied, and the energy gap is calculated from the following relationship: [14].

α=2.303 ×(A/t) ……..(2)

(α h v)2=A (hv-Eg )…………(3)

Where:

α: Absorption coefficient. A: Absorption. t: Thick film. hv: Energy of the falling photon., Eg: Energy gap.

Results and Discussions

FTIR

Figure 1 Shows the FTIR absorptions bands of the {poly 6-butanoxy-2, 4-hexadiyne ether (A)}, [12] have been seen at (3417 cm-1, st, O-H), (2979cm-1, st, C-H), (1599 cm-1, st, C=C), (1197-1074 cm-1, st, C-O-C), while the absorptions bands of the {poly 1-oxydodecayle – 10, 12-docosadiyane 1, 22-diate (B)}, [12] seen at (3402 cm-1, st, O-H), (2925 cm-1, st, C-H), (2143 cm-1 w, st, C≡C) (1776 cm-1 st, C=O) and (1137-1266 cm-1 st, C-O).

Journal-Material-Sciences-Engineering-Shows

Figure 1. Shows the FTIR absorptions infrared spectrometer of the polymers A & B

Optical energy gap

The optical energy gap of the three compounds and their different thicknesses were calculated using equation 3, wherever this equation is used to find the energy gap for the semiconductors with the direct transitions allowed. When applied to the results of our measurements, we noticed that it is well-applied, and this is illustrated by the Figure 2.

Journal-Material-Sciences-Engineering-Energy

Figure 2. Energy Gaps of Material A to C Different Thicknesses

The mentioned forms illustrate the relationship between (αh)2 and the falling photon (hv) of A, B, and C polymers respectively. To calculate the energy gap, we extend a straight line by cutting the photon hv energy axis, and the intersection point represents the energy gap value. Table 1 shows the energy gap values at different thicknesses of the three compound films.

Table 1: Shows the relation of thickness with the energy gap of the polymers (A, B, & C)
Kind of the Material Thick (µm) Energy Gap (eV)
  A 1.15 3.57
1.68 3.54
2.84 3.49
3.37 3.38
  B 3.34 3.61
7 3.42
9.38 3.31
22.87 3.11
  C 0.22 2.32
0.29 2.25
0.36 2.21
0.559 2.12

The relation of energy gap Eg with thicknesses of A, B, and C films illustrated in Figure 3, the important notice from the figures is Eg increase whenever decrease the thick film.

Journal-Material-Sciences-Engineering-Shows

Figure 3. Shows the relation of thickness with the energy gap to the (A, B, & C) materials

Permeability

The relation of the permeability with the falling wavelength to different polymer (A) films. So, we could easily notice that these films have a high permeability in the range of the wavelength (600-1000 nm) rationally, and these areas represent both; a part of optical wave and nearby infrared one. The most important thing that can notice from Figure 2, that we have the values of permeability to different thick samples decrease with increasing of the thick film Figure 4.

Journal-Material-Sciences-Engineering-Spectrum

Figure 4. The Spectrum of Permeably for Different Thicknesses Materials A, B, C

Thus, for increasing the absorption of falling photons and their scattering with increasing of thick film led to debilitate a part of the falling ray that caused decreasing value of permeability. Also, the reason of decreasing the permeability of polymer (A) attributes to shortness of polymeric series which take twisting form because the approach of chemical bonds as in Figure 5.

Journal-Material-Sciences-Engineering-first

Figure 5. Shows the preparing steps of first (A) polymer

We also notice from Figure 3A, that the values of permeability to different thick samples are decreasing with decreasing wavelength (energy boost) till to reach to a rapid decreasing at wavelengths less than 600 nm. This region is called the basic absorption edge, through which the optical energy gap of the material can be determined. This visual behavior of polymer (A) shows that it is a semi-conductor polymer with a relatively large energy gap, [10].

Figure 2 represents the relationship of the permeability to the wavelength of the falling light of the polymer (B). We can observe from the diagram that although the thicknesses of the films are relatively large, their permeability's are relatively high and this can be attributed to the chemical structure of the polymer [11], which consists of long aliphatic chains which are not blocked the light passage as shown in the figure 6:

Journal-Material-Sciences-Engineering-second

Figure 6. Shows the preparing steps of second (B) polymer

This is reinforced the values of the energy gap, which attributes to the length of the chains, that means the long distance of the pols between each other. Also, we notice the absorption edge of this polymer is clear and sharp at the same time as the rapid absorption of light begins at wavelengths shorter than that of polymer (A) {~500 nm}. The shape of the diffusion curve of permeability and the different thicknesses is linear and relatively free of aliasing, indicating the surfaces of these samples regularly, and smooth.

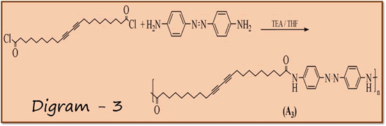
In general, we also notice that the values of permeability decrease with increased thickness of the films. The relationship between the permeability and the wavelength of polymer C film is illustrated in Figure 3C. What distinguishes the polymer films from polymers A and B are their thickness is low. By the way, the three compounds (A, B and C) were deposited on the same bases and under the same conditions as sedimentation times. This is due to four nitrogen atoms, which in turn have free electronic pairs acting as claws to stabilize the polymer on the glass substrates and the lack of such a synthesis in the previous polymers, which confirms the high permeability of the polymer because it is a thin film, [12,15]. In addition, the permeable values of films of this polymer are relatively high. The other point to be observed is that the spectra of permeability to these films have tails at short wavelengths less than 500 nm. Also, we can observe that it absorbs light at a wavelength of the previous polymers B, the reason attributes to the successive aromatic system in the polymer's spine, [12]. Besides, the energy gap of this polymer is smaller than A and B polymers, which is due to the high and multiple polarity centers represent in the aromatic circles, nitrogen atoms, and amide group [16] Figures 6 and 7.

Journal-Material-Sciences-Engineering-third

Figure 7. Shows the preparing steps of third (C) polymer

Conclusion

Three types of new polydiacetylenes were synthesized; {poly 6-butanoxy-2, 4-hexadiyne ether (A)}, {poly 1-oxydodecayle – 10, 12-docosadiyane 1, 22-diate (B)}, and {polymer poly 10, 12-docosadiyane 1, 22-4, 4-diamido azo benzene (C)} by using spinning technique thin films were grown on glass substrata. The optical properties were characterized it is found that the measured permeability spectra were high value in the visible and near IR wavelength region. The results showed that the values of optical energy gap for the third polymer C is less than the values of polymers A and B. Also, it is found that the permeability and optical gap decreased with increasing the thickness of thin films.

Acknowledgment

The authors are right thankful to Colleges of Basic Education and Dentistry at the University of Mosul, for their providing facilities required, which helped to improve the quality of this research.

References

Google Scholar citation report
Citations: 3677

Journal of Material Sciences & Engineering received 3677 citations as per Google Scholar report

Journal of Material Sciences & Engineering peer review process verified at publons

Indexed In

 
arrow_upward arrow_upward