Research Article - (2020) Volume 11, Issue 2
Received: 10-Mar-2020
Published:
20-Apr-2020
, DOI: 10.37421/2090-0902.2020.11.316
Citation: Abdel-Gawad HI. “Construction of Super NLPDE’s Traveling Waves Solutions of Super KdV Equation with Emphasis to Applications.†J Phys Math 11 (2020): 315 doi: 10.37421/JPM.2020.11.316
Copyright: © 2020 Abdel-Gawad HI. This is an open-access article distributed under the terms of the Creative Commons Attribution License, which permits unrestricted use, distribution, and reproduction in any medium, provided the original author and source are credited.
Construction of super NLPDE’s is performed to the aim of finding novel dynamic evolution equations that describe highly dispersive nonlinear systems. It is found that a coupled NLPDE generates a super NLPDE. Which may reveal novel nonlinear phenomena and provide an interpretation of the phenomena complexity. Attention is focused to find the super formulation of the nonlinear, coupled nonlinear Schrodinger (NLS, CNLS), Davey-Stwartson (generalized Zakharov), Higg’s, and coupled KdV equations. The CNLS equation may help to control the propagation of soliton (pulse) waves in fiber optics. These equations are currently used in engineering such as the management of the concept of soliton in the development of modern technology via the study of Bose-Einstein condensate phenomena. Further, to test the behavior and study the characteristics of the propagation of laser pulse and high-power fiber laser applications. Here, the extended unified method is used to find the solutions of the traveling wave to the super KdV equation. These solutions show solitary, soliton with double kinks waves and lumps. We think that the novel equations constructed here will open a new trend of research that may lead new phenomena in the applied sciences.
Super NLPDE’s • Super KdV (kdV6) equation • Traveling waves solutions • Extended unified method
Nonlinear partial differential equations NLPDEs occupy a wide area of research in many branches of sciences. They describe complex phenomena in nonlinear systems. Among them, the study of the propagation of waves in optical fiber, electromagnetic waves transmission in communication, and thermopherotic waves in graphene sheets, in electron devices and surface waves in deep water and shallow water waves near shores. Thus, novel dynamic evolution equations are of great interest in nonlinear sciences and in engineering. The present work is of considerable interest in the engineering sciences as well as the mathematical and physical sciences. For example, in chemical industry, the objective is to achieve a great yield of a given product. Which is accomplished by controlling the initial concentration of the reactant. The essence of this work is to inspire the way of controlling the propagation of waves in optical fiber, in fluids, in deep and shallow water
They may reveal new nonlinear phenomena and provide a wide scope of research works. To this issue, different approaches have been developed in the literature, which are the perturbative technique [1-3], the Lax pairs [4,5], the commutator of operators in the symmetries that arise by using the Lie group analysis to nonlinear partial differential equations NLPDE’s, [6,7] and the conservation laws [8-10]. Here, we are interested with the nonlinear Schrodinger NLS and the coupled nonlinear CNLS, Davy- Stewartson DS, The Higgs., and the coupled KdV equations. Applications of NLS are in Bose-Einstein condensation [11,12], fluid dynamics [13-15], plasma physics [16,17], and in optics [18,19]. While the CNLS which in general of the type Gross-Pitaeviskii equation [20-22]. The later has many applications, in optical fiber [23] . the atmospheric gravity waves [24]. Also, it describes condensate dynamics in the limit when the many-body wave function represents the condensate, that is to the low-temperature regime [25]. The DS equation is applicable for water waves theory for internal gravity waves [13] and for ferromagnetism. Also in the study of the envelope gravity solitary waves in Baroclinic atmosphere [15]. In this paper we are concerned with constructing super NLPDEs. In chemical engineering quadratic, cubic, or quartic autocatalytic reactions are described by coupled nonlinear reaction diffusion equations. When analyzing these equations, the initial concentration of a reactant can be be controlled to produce great yield of the required output (product).
Here we consider five cases.
1. The NLS equation which reads
(1)
where p is complex function and p=u+iv, thus (1) is rewritten
(2)
or
(3)
The equation (3) leads to det
, so,we get the operator equation
(4)
By operating on the functions u0 and v0 we have

(5)
In (5) the functions u0 and v0 are linearly dependents. Thus v0= A u0 and we are left with the first equation in (5) which is the super Schrodinger equation.
2. The DS equation in (2+1) dimensions. it reads
(6)
In (6) u=u1 + iu2, and it is rewritten
(7)
In the operator form equation (7) is
(8)
We mention that in (8) the third equation holds identically. Here M̑ is not unique.Thus in this case we can get many super equations. Also, we can have
(9)
From (8), by setting det M̑=0, we get the first super DS equation,
(10)
When using (9), we have a second super DS equation, which is
(11)
In (10), by replacing (.) by u1, u2 and v we have u2=Au1, and v=Bu1 so that (10) reduces to

By the same way we get the second super DS equation.
3. The Higg’s equation
(12)
where u is complex function, u=u1+iu2, v is real, and (13) is
(13)
From the equations for u1 and u2, we find that they are linearly dependent, that is In the operator form (14) is
(14)
Finally the super Higg’s equation is
(16)
In (16) we replace (.) by u1 and v, and also we have v= Bu1, so , we have (16) is
(16)
4. The CNLS equation. It reads
(17)
Where u and v are complex functions, u= u1 + iu2, v= v1+iv2 and (18) becomes
(18)
In the operator form of (19) is
(19)

By the same way as in the super NLS equation, here the super equation is
(20)
And L̑ is defined in (20). By replacing (.) by ui,vii = 1,2, we get four equation with the same operator. So, each pair is linearly dependent and we have u2= Au1, v1=Bu1 and v2 = Cu1. Finally (20) is rewritten
(21)
5. The coupled KdV equation which t reads
(22)
In the operator form, (23) is written
(23)
By the same way and by bearing in mind that v= Au, we get
(24)
It worthy to notice that (25) is an another version to the KdV6 which was obtained and studied in [26-29].
Traveling wave solutions of the super KdV equation
Here the equation (25) is considered.The traveling wave solutions TWS of (25) are found by using the unified methods [26-31].To this end we use the transformations u (x,t) = v(z) and z= βx+ γt.
(25)
By the methods in some studies [30,31], solutions are expressed for, by the form of polynomial, or rational, function, in an auxiliary function that satisfies an auxiliary equation. In the case of so solution which is a polynomial function, we write
(26)
Where p=1 or p=2 The solution of auxiliary equation is elementary or periodic (or elliptic) solutions respectively. In (28) the values of n and k are determined from the balance and consistency conditions. When p=1, we have n=2 (k-1) and 1≤k≤ 13/5.. For details see [30].
In the case of single wave rational function solution, we have
(27)
Theorem 1: A necessary condition that a NLPDE has a periodic (or elliptic) solution is that all terms are of even or odd derivatives with p=2 and 
Proof: In the case of even order derivatives, then after calculation each term is free from the square root, so that the equations result are also free. In the case of odd order derivatives all terms factored by the square root and also the equations result are, thus, free.
Theorem 2: A sufficient condition for the existence of periodic (elliptic) solutions is that the solutions of the equation obtained are consistent. By theorem1, (26) has no periodic (elliptic) solutions so we are concerned with the case p=1.
Now we find the TWS by using (27) and distinguish the following cases:
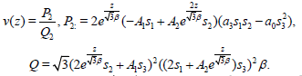
(i)-Case of quadratic auxiliary equation when k=2 in (27),
(28)
By substituting from (29) into the first equation in (27), calculations give rise to
(29)
The solution of the auxiliary equation is
(30)
Finally the solution of (26) is
(31)

The results in (32) are displayed in Figure 1a against x and t.
Figure 1a The results in (32) are displayed against x and t when

Figure 1b. The results in (37) are displayed against x and t

Figure 1a shows lump soliton wave with periodic wave background, while Figure 1b shows soliton wave with double kinks.
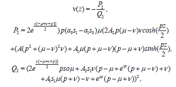
(ii)-Multi linear auxiliary equations which are taken,
(32)
and the solution is
(33)
By using v(z) = w (z) inserting (33) and (34) into (26) calculations give
(34)

We have
(35)
By inserting (35) and (36) into (34),we get
(36)
The results in (37) are displayed against x and are shown in Figure 1b.
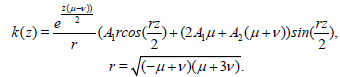
(iii)-Coupled auxiliary equations
(37)

By the same way we have

(38) and
(39)
and
(40)
By inserting (39) and (40) into into the second equation in (38) The results are too lengthy to be produced here. The solution obtained is displayed against x and t in Figure 2.
The results for the solution are displayed against x and t.
When, 
This figure exihibts solitary wave.
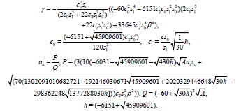
(iv)-Coupled auxiliary equations. When
(40)
By the same way we have
(41)
When μ < v, μ>-3v, we have

(42)
Thus we have two solutions that correspond to the auxiliary functions in (42) and (43) and they are respectively
(43)
and
(44)
The solutions (44) and (45) are displayed against x and t in Figures 3a and 3b respectively
Figure 3a when,

Figure 3b when,

Figure 3a shows soliton wave with double kinks, while Figure 3b shows lump solitary wave.
The comparison between the method used here and the known methods is done in the following:
1. In This paper the unified method, presented by the author, was used. After this nomenclature , this method unifies all known methods such as, the tanh , modified , and extended versions, the F-expansion, the exponential, the G’/G expansion method, The Kerdyashov methods [30].
2. On the other hand the extended unified method proposed, also by the author may be sufficient to replace the analysis of using the symmetries by inspecting the symmetries that arises by using Lie group [31].
3. Using the generalized unified method, presented by the author, is more powerful tool than using the Hirota method [31].
We have constructed Some super (novel) NLPDE’s equations which describe highly disperive waves in nonlinear systems in optical fiber, Bose Einstein condensate, in ferromagnitism and in deep and shallow water.. Among these equations the super KdV which is known in the literature by the KdV6. This last equation is studied and a class of traveling waves solutions are obtained. These solutions exhibit solitary, soliton with double kinks waves and lumps. We think that this work will lead to a new trend of research when treating the novel NLPDEs found in this work. That may lead to reveal many comlex phenomes in nonlinear optics, fulid and nonlinear waves in shallow water.
Physical Mathematics received 686 citations as per Google Scholar report