Mini Review - (2023) Volume 14, Issue 3
Received: 26-Apr-2023, Manuscript No. jpm-23-97048;
Editor assigned: 28-Apr-2023, Pre QC No. P-97048;
Reviewed: 10-May-2023, QC No. Q-97048;
Revised: 15-May-2023, Manuscript No. R-97048;
Published:
22-May-2023
, DOI: 10.37421/2090-0902.2023.14.422
Citation: Gao, Yang. “The Iterative Solution of Taylor Formula for Partial Differential Equation.” J Phys Math 14 (2023): 422.
Copyright: © 2023 Gao Y. This is an open-access article distributed under the terms of the Creative Commons Attribution License, which permits unrestricted use, distribution, and reproduction in any medium, provided the original author and source are credited.
This paper discuss the relation between Taylor's formula and partial differential equation. Taylor formula iteration method can resolve partial differential equation u(x,t) be expanded at t=0 or t=1 by Taylor formula. Coefficient of Taylor formula ut(x,0), utt(x,0). . . can be expressed by partial differential equation. The method can solve nonlinear differential equation. Generalized Taylor's formula can solve fractional partial differential equation. The method is very important way that resolving partial differential equation. This article refers to the literature. Taylor formula iteration method belongs to logical thinking.
Taylor's formula • Iteration method • Nonlinear • Partial differential equation
This paper introduces that Taylor formula iteration method resolve partial differential equation. In this paper, six examples are used to introduce Taylor formula iteration method to solve partial differential equation. This paper also introduce that Generalized Taylor's formula can solve fractional partial differential equation. The iterative method of Taylor formula is an important and useful method to solve partial differential equation [1-10]. The solution of Taylor formula iteration method belongs to C∞.
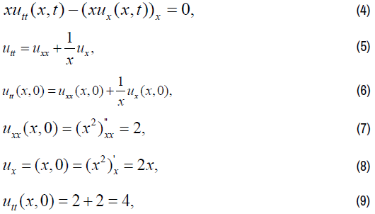
Variable coefficient problem
We consider equation as following:

We solve (1) by Taylor formula iteration method as following:


And we have:

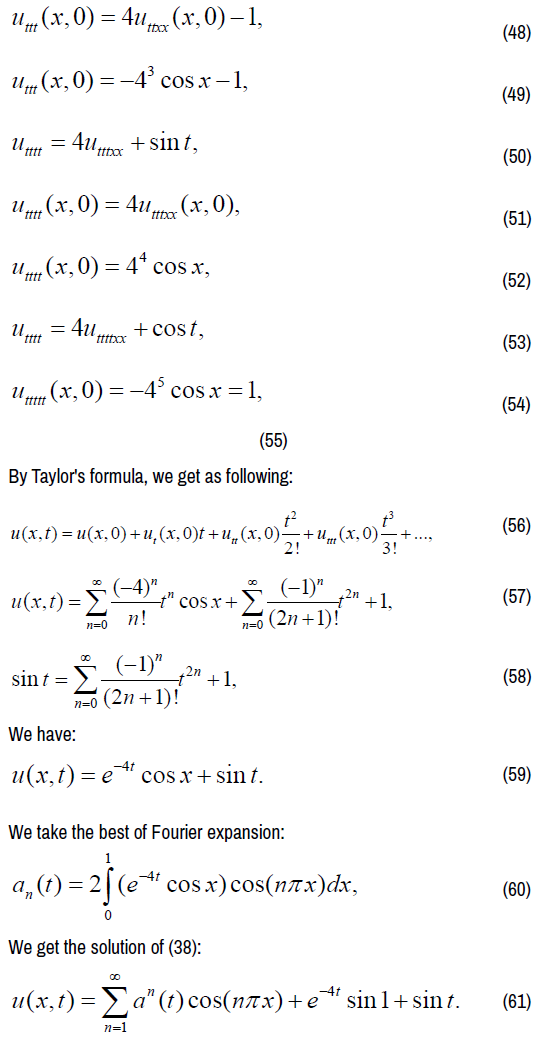
By Taylor's formula, we get as following:

Two dimensional heat conduction equation solution
We study the equation as following:

Next, we solve (19) by Taylor formula iteration method,

On equation (21), finding 1-order partial derivative of t on both sides,
We have:


On equation (23), finding 1-order partial derivative of t on both sides,
We have:

The third problem with boundary values
We consider following equation:

By Taylor formula iteration method, we have:


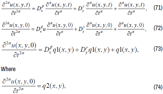
Fractional partial differential equation
We consider following fractional partial differential equation:

Where q(x,y)is known integral polynomial.
The definition of Caputo fractional derivative about t:


q1(x,y) is known function.
We consider
On equation (62), finding α -order partial
derivative of t on both sides,
We have:

q2(x,y) is known function.
We consider
on equation (62), finding 2α -order partial
derivative of t on both sides,
We have:

Where

q3(x,y) is known function. We consider
on equation (62),
finding 3α -order partial derivative of t on both sides,
We have:


Where

q4(x, y) is known function. We have:

qn(x, y) is known function.
By Generalized Taylor's formula:

So we have the solution of (62):

Nonlinear KdV equation
We consider the wave equation as following:

On equation (88), finding 1-order partial derivative of t on both sides,
We have:

On equation (94), finding 1-order partial derivative of t on both sides,
We have:

By Taylor's formula, we get as following:

Nonlinear sine-Gordon equation
We consider following constant coefficient equation

On equation (110), finding 1-order partial derivative of t on both sides,
We have:

On equation (114), finding 1-order partial derivative of t on both sides,
We have:


uttttt(x,0),utttttt(x,0)…is known function.
By Taylor's formula, we get as following:

So we can get the solution of (107).
Iterative solution of partial differential equations by Taylor formula is important and good methods that solve linear and nonlinear partial differential equations. And the method also can solve fractional partial differential equations.
Google Scholar, Crossref, Indexed at
Google Scholar, Crossref, Indexed at
Google Scholar, Crossref, Indexed at
Google Scholar, Crossref, Indexed at
Google Scholar, Crossref, Indexed at
Google Scholar, Crossref, Indexed at
Google Scholar, Crossref, Indexed at
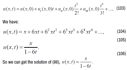
Physical Mathematics received 686 citations as per Google Scholar report