GET THE APP

Comparative Study of the Physicochemical Properties of Adulterated, Unadulterated, Crude and Bleached Palm Oil Samples
Environmental & Analytical Toxicology

Environmental & Analytical Toxicology

ISSN: 2161-0525

Open Access

Original Research Article - (2023) Volume 13, Issue 3

Comparative Study of the Physicochemical Properties of Adulterated, Unadulterated, Crude and Bleached Palm Oil Samples

Ngozi Jane Maduelosi*, E. G. Kingsly, C.M. Ekezie and J.U. Okwechime
*Correspondence: Ngozi Jane Maduelosi, Department of Chemistry, Rivers State University, P.M.B.5080, Port Harcourt, Nigeria, Email:
Department of Chemistry, Rivers State University, P.M.B.5080, Port Harcourt, Nigeria

Received: 02-May-2023, Manuscript No. Jeat-23-97535; Editor assigned: 04-May-2023, Pre QC No. P-97535; Reviewed: 18-May-2023, QC No. Q-97535; Revised: 23-May-2023, Manuscript No. R-97535; Published: 30-May-2023 , DOI: 10.37421/2161-0525.2023.13.706
Citation: Maduelosi, Ngozi Jane, E. G. Kingsly, C.M. Ekezie and J.U. Okwechime. “Comparative Study of the Physicochemical Properties of Adulterated, Unadulterated, Crude and Bleached Palm Oil Samples.” J Environ Anal Toxicol 13 (2023): 706.
Copyright: © 2023 Maduelosi NJ, et al. This is an open-access article distributed under the terms of the creative commons attribution license which permits unrestricted use, distribution and reproduction in any medium, provided the original author and source are credited.

Abstract

The physicochemical properties of adulterated, unadulterated, crude and bleached palm oil samples were determined so as to access the impact of additives and bleaching on the oil samples. The adulteration was done by introducing Sudan dyes (azo dyes) in the sample. Physical properties of the samples, such as Free Fatty Acid (FFA), moisture content, peroxide value, Specific Gravity (S.G) and colour were measured using standard methods. Fourier Transform Infra-Red (FTIR) Spectroscopy was also carried out on the oil samples to determine the effects of the dye and bleaching on the chemical composition of the samples. From the results obtained, the values of the physical properties measured were higher in the adulterated samples than in the unadulterated samples. The value of the Free Fatty Acid (FFA) for Crude Unadulterated Palm Oil (CUPO) was 10.67% and that of the Crude Adulterated Palm Oil (CAPO) was 16.46% wherein the Nigerian Industrial Standards (NIS) value is 5.0 max. The value of the FFA for the adulterated palm oil was higher than that of the unadulterated palm oil sample, in which both did not fit into the standard. The FFA values of the Bleached Unadulterated Palm Oil (BUPO) were 7.75% and Bleached Adulterated Palm Oil (BAPO) was 14.64% which are within the range of the NIS permissible limit.

Moisture content values for CUPO was 0.69%), CAPO=0.79%, BUPO - 0.28% and that of BAPO was 0.45%. The NIS limit is 0.5max, so the values of CUPO and CAPO are above the limit. For the Peroxide values, CUPO had a value of 5.81 Meq/kg, CAPO=17.77 Meq/kg, BUPO=3.40 Meq/kg and that of BAPO was 12.69 Meq/kg, against the NIS of 10 Meq/kg. The values of the specific gravity of the different samples are: 0.905 for CUPO, 0.909 for CAPO, 0.911 for BUPO and 0.906 for BAPO. The values were all above the NIS standard value of 0.901. For the colour, CUPO and BUPO were within the NIS range while the values for CAPO and BAPO were over the maximum, whereas the values for the unadulterated sample were within the Nigerian Industrial Standard. The FTIR results revealed that unsaturation in the oil is lost by the reaction of the fatty acids in the oil with the dyes. Bleaching also results to bond breakages in the oil samples, therefore, adulteration destroys the quality of palm oil.

Keywords

Palm oil • Bleached • Adulterated • Crude • Unadulterated • Physicochemical

Introduction

Palm oil produced from the mesocarp of the fruits of the oil palm trees (Elaeis guineensis) is a household name in Nigerian. The oil is naturally reddish in colour because of the fruit pulps which has high carotenoid. Its flavor, is an essential ingredient in the traditional West African cuisine [1,2]. Palm oil is extracted by heating and pressing the pulp of the fruit and separating the fibre [3]. The oil palm tree is a perennial tree crop, which produces very high quantity of oil when compared to other oil producing plants. The crop is unique in that it produces two types of oil. The fleshy mesocarp produces pam oil, which is used mainly for its edible properties and the kernel produces palm kernel oil, which has wide application in the oleo chemical industry [4,5]. Many of the products sold in the markets use palm oil in their formulation. Examples include food products such as margarine, confectionery, ready to eat meals, food snacks, chocolate, ice cream and bakery products, as well as non-edible products such as soap, candles and cosmetics [6]. Palm oil is rich in antioxidants, one of which is vitamin E, which helps in keeping the immune system healthy. Studies show that getting enough vitamin E in your diet can reduce your risk of heart disease, certain forms of cancer and age-related macular degeneration [7].

Analysis of the physicochemical properties of palm oil from different places, (the colour, refractive index, density, viscosity, moisture content, iodine value, peroxide value, free fatty acid, flash point etc) has been reported by earlier researchers [8-12]. Colour pigments of palm oil have been reported to be a precursor of vitamin A used for treating vitamin A deficiency [13]. Colour is a vital ingredient of consumers perception of food and a major factor that determines its taste [14]. Most food colorants added in foodstuffs are not natural; they can only increase one’s appetite and incite the consumption of the products [15]. They do not provide any nutrients for the human body but rather may cause serious damage to consumers’ food products and health. In recent time, some dishonest palm oil sellers in Nigeria, Ghana and other West African countries had begun the introduction of additives (synthetic dyes/colour pigments) into foods (especially into palm oil). These synthetic dyes are used for coloring solvents, oils, waxes, petrol and shoe and floor polishes. Their use as adulterants to improve the hue of palm oil is unfortunately on the rise. Adulterations with these additives have been reported to affect the physical properties of palm oil [16,17].

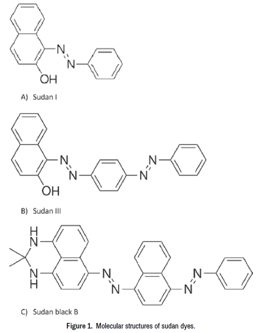
Azo dyes are defined by the presence of a characteristic N=N group. Sudan I and Sudan II are synthetic azo dyes that have been used as coloring agents [18]. Although animal toxicity studies suggest that Sudan dyes are mutagenic, their molecular mechanism of action is unknown, thus making it challenging to establish thresholds for tolerable daily intake or to understand how these molecules could be modified to ameliorate toxicity [19]. In addition, dye metabolites, such as azobiphenyl and 4-aminobiphenyl, have been correlated with epigenetic alterations. Analysis has shed some light on the mechanisms of Sudan dye genotoxicity through a molecular modeling study of Sudan I and Sudan II dyes and two common metabolites interacting with DNA as adducts [20]. The results suggest that all four adducts cause significant perturbations to the DNA helical conformation and structure; thus, it can be inferred that DNA repair and replication processes would be significantly impacted. These dyes are insoluble in water, slightly soluble in ethanol, soluble in grease and mineral oil, soluble in acetone and benzene [19,21] (Figure 1).

environmental-analytical-toxicology-molecular-structures

Figure 1. Molecular structures of sudan dyes.

Figure 1 high peroxide values for oils suggest oxidation of the oils. Oxidized palm oil induces reproductive toxicity and organ toxicity particularly of the kidneys, liver, lungs and heart. Palm oil with high peroxide value should be avoided [22]. Some earlier researchers, Ekpa, OD and R.U.B. Ebana [23], reported that bleaching removes organic compounds such as carotenoids, xanthophylles, chlorophyll and their degradation products and impurities, trace metals and high molecular oxidative components from the oil; thus, improving the colour and taste. This work is a comparative study of the changes in physicochemical properties of crude unadulterated palm oil (CUPO), crude adulterated palm oil (CAPO), bleached unadulterated palm oil (BUPO) and bleached adulterated palm oil (BAPO) samples.

Materials and Methods

The following materials were used: Phenolphthalein, Ethanol, sodium thio sulphate solution and chloroform were products of British drug houses limited (BDH) UK. Sodium hydroxide, potassium iodide and acetic acid were products of Sigma Aldrich, hot air oven, analytical electronic weighing balance, lovibond tintometer, heating mantle and pycnometer bottles (Figure 2).

environmental-analytical-toxicology-palm-oil

Figure 2. Flow chart for the production of palm oil.

Sample collection

The crude adulterated palm oil (CAPO) samples were collected from a dealer in Mile 3 market, Port Harcourt, while crude unadulterated palm oil (CUPO) was obtained from a highly noticed producer of palm oil in Okehi-Etche LGA, Rivers state. The oil samples were properly kept in sealed plastic bottles and kept away from direct sunlight and heat for four (4) days before analysis.

Bleaching of palm oil

One hundred grams (100 g) each of homogenized adulterated and unadulterated palm oil were placed in a clean dry stainless pot and heated over a hot plate at 100°C for 15 minutes. Sample was cooled to room temperature before determination of color in a Lovibond Tintometer.

Physical properties of the palm oil samples determination of moisture & volatile matter

A dry clean petri dish was weighed (W1) and 5 g of the oil sample was added to the dish and weighed again (W2), it was then placed in an oven at 105°C for 4 hours. The moisture content was calculated using the equation below:

% Moisture=(final weight of sample-initial weight of sample)/(weight of sample) × 100

Determination of specific gravity

This was determined using the ratio of the weight of a unit volume of the sample at 40°C to the weight of a unit volume of water at 40°C as described by American oil chemists society [24,25]. Specific gravity was calculated using the equation below:

Specific gravity=(weight of oil (Wto))/(weight of distilled water(Wtw))

Where:

Wto= weight of density bottle and oil sample –weight of empty bottle

Wtw= weight of bottle and distilled water – weight of empty density bottle

Determination of Colour

The method described by AOCS, for colour analysis with Lovibond Tintometer (Model F, Effem Technologies Pvt. Ltd., New Delhi, India) was used [25].

Determination of free fatty acid

The method of Analysis of the American oil chemists society was used. 2 g of the oil sample was dissolved in 50 ml of neutral of 95% ethanol) in a conical flask. This was followed by the addition of 2-3 drops of phenolphthalein indicator and was titrated with 0.1M NaOH until a pink colour which persisted for 15 seconds was obtained. The titre value of the 0.1M NaOH was then used to calculate the Free Fatty Acid as percentage palmitic acid as given in the equation below:

Percentage free fatty acid=(T × M x Mw)/w

Where,

T= Titre value of NaOH used

Mw=molecular weight of palmitic acid

W= weight of oil sample used

Determination of peroxide value

The Peroxide value was also determined according to method of AOCS. Peroxide values were calculated as shown in equation below:

Peroxide value (meq/kg) oil=(S-B ×N )/W ×1000

Where:

B=Titration of blank

S=Titration of sample

N=Normality of sodium thiosulfate solution (0.01M Na2S2O3)

W=Wt of sample

Meq/kg oil=Mill equivalents peroxide/1000 g sample.

Results and Discussion

The physicochemical properties of the crude unadulterated, adulterated and bleached oil samples are presented in table 1 above. The % free fatty acid content of the crude adulterated palm oil was 16.46 that of crude unadulterated palm oil was 10.67, bleached unadulterated 7.75 and bleached adulterated was 14.64. These values are higher than the standard for palm oil set by the Nigeria industrial standards (NIS). High free fatty acid content means breakdown of triglycerides resulting in off flavour and off odour of food product as reported by earlier researchers [26,27]. However, that of crude unadulterated oil was lower than the values for the adulterated samples. The results also show that bleaching lowers the percentage free fatty acids hence, bleaching reduces oil breakdown. Bleaching has been found to effectively remove some impurities such as carotenoids, chlorophylls (pigments), free fatty acids and other contaminants from palm oil. This improves the appearance, stability and shelf life of the oil. This may be the reason for the observed low free fatty acid value, low peroxide value that is within the NIS permissive limit and colour (3.6 R closest to the NIS value) in BUPO, as compared to CUPO, CAPO and BAPO (Table 1).

Table 1: Physical properties of the different palm oil samples.

S/N Samples FFA (%) Moisture & Volatile matter (%) Peroxide Value (Meq/kg) Specific Gravity Colour 1 cell
1 CUPO 10.67 0.69 5.81 0.905 (lovibond scale)
2 CAPO 16.46 0.79 17.77 0.909 1.3Y, 4.7R, 2.5B
3 BUPO 7.75 0.28 3.40 0.911 2.3Y, 6.6R, 2.4B
4 BAPO 14.64 0.45 12.69 0.906 1.5Y, 3.6R, 1.1B
5 Nigerian Industrial
Standards (NIS)
5.0 max 0.5 max 10 meq/kg max 0.901 2.4Y,6.4R, 1.6B

Moisture and volatile matter were slightly lower in the crude unadulterated palm oil than in the adulterated samples. Moisture content is a parameter that is used in assessing the shelf –life of a product [28]. The Implication of high moisture content is an encouragement of microbial growth and subsequent spoilage of the food product. High moisture content enables microorganism activities in the palm oil causing palm oil impairment and thus high acidity. This high moisture content has been pointed out to be due to the failure of local producers to boil off the moisture from crude oil samples during production [29]. Peroxide values were high in adulterated samples (17.77 meq/kg) compared to the unadulterated samples which were within the NIS set standard (10.00 meq/ kg). The oxidation of edible oils has been known as a major problem affecting the quality of edible oil, because it changes the flavor and nutritional quality of foods and produces toxic compounds, all of which can make the food less acceptable and unacceptable to consumers.

Values obtained for the colour of adulterated samples and the unadulterated samples were a little above the NIS standard but the adulterated samples had higher values. The values of the specific gravity of the different oil samples were also slightly higher than the recommended standard with the adulterated samples having higher values than the unadulterated samples. The changes in the properties of the adulterated oil samples are attributed to the alteration of the composition of the oil samples by the introduced dyes. Figure 3 presents the FTIR Spectra of crude unadulterated palm oil sample. From the spectra, the peak at wavelength 2922 cm-1 indicates the C-H asymmetric and symmetrical vibrations of aliphatic CH2 functional group with strong absorption intensity. The peak region at wavelength 2850 cm-1 indicates C-H band of alkane with medium absorption intensity. The peaks at 1744 cm-1 and 1155 cm-1 wavelengths represent double bond stretching of C=O (Carbonyls) of aliphatic esters, with strong absorption intensities. The peak at 1595 cm-1 is attributed to C-H bending vibration of CH2 group, while the one at 1379 cm-1 represents the CH3 group observed at C-H bending vibration. The weak absorption band at 723 cm-1 is attributed to C-H out of plane formation of isolated trans double bonds. Similar observations have been reported (Figure 3).

environmental-analytical-toxicology-wavelength

Figure 3. FTIR spectra of crude unadulterated palm Oil (CUPO) at wavelength 3000-700 cm-1.

The FTIR Spectra of crude adulterated palm oil presented in figure 4 shows similar peaks like those in figure 3 except the peak at 1371 cm-1 which shows region of deformation, indicating combination of O-H and H-N vibrations of aliphatic group. The peak at 969 cm-1 is attributed to O-H functional group of peroxides. The peak at wavelength 2850 cm-1 indicates C-H (Alkane) with medium absorption intensity and 1744 cm-1 indicates C=O (Carbonyls) with strong absorption intensity, indicative for the degree of unsaturation of triglyceride (Figure 4).

environmental-analytical-toxicology-adulterated

Figure 4. FTIR spectra of crude adulterated palm oil (CAPO) at wavelength 3000-700 cm-1.

Figure 5 gives the FTIR spectra of the bleached unadulterated palm oil with no significant peak. It is observed that the prominent peaks in the crude samples are absent in the bleached samples. This is attributed to the bleaching of the oil which destroys the unsaturation in the oil. The sharp peak at 1265 cm-1 is attributed to carbonyl group of esters and ketones. The small peaks at 3567 and 3524 cm-1 are absorption bands due to OH stretching vibration mode of mono acyl glycerol, while the band at 3432 cm-1 may be due to overtone of acyl glycerol ester carbonyl absorption. A prominent peak (double) is also observed at 730–702 cm-1 which indicates OH functional group that shows that oxidation occurred with the bleaching of the oil. Earlier researchers reported that at temperatures higher than 100°C bleaching process leads to formation of oxidation products in the oil (Figure 5).

environmental-analytical-toxicology-spectra

Figure 5. FTIR spectra of bleached unadulterated palm oil (bupo) at wavelength 4000-650 cm-1.

Figure 6 shows the FTIR Spectra of the bleached adulterated palm oil with few significant peaks too at 1265 and 730 – 702 cm-1. This is attributed to the breaking of the triglyceride bonds and formation of OH bands too due to bleaching. The little peaks at 2156, 2029 cm-1 are attributed to the cumulative signal of the stretching vibration of C-C and N=N bonds. The band at 1148 cm-1 which was in the crude samples confirms the resistance to bleaching of adulterated oils. It has been reported that azo dyes (which are water soluble polar compounds) do not react in oils or non-polar solvents. It may only react with food components that have both the water phase and oil phase and in some other conditions like exposure of the oil-dye composition like exposure of the oil-dye composition to ultra violet (UV) irradiation. This may be the reason for the similarity in the FTIR spectra peaks for CUPO, CAPO, BUPO and BAPO (Figure 6).

environmental-analytical-toxicology-bleached

Figure 6. FTIR spectra of bleached adulterated palm oil (bapo) at wavelength 4000-650 cm-1.

Conclusion

Additives adulterate oil samples. This is because it alters the physicochemical properties of the oil. Bleaching also destroys the chemical structure of oil samples because it leads to loss of unsaturation. FTIR Spectroscopy is an ideal technique for monitoring changes in oil parameters since the changes due to specific treatments can be observed in the absorption spectra. Presence of dyes is indicated by the inability of an oil sample to get bleached, therefore, palm oil samples that resist bleaching should be avoided.

References

  1. Obahiagbon, F. I. "A review: Aspects of the African oil palm (Elaeis guineesis Jacq) and the implications of its bioactives in human health."Am J Biochem Mol Biol 2 (2012): 106-119.
  2. Google Scholar, Crossref, Indexed at

  3. Sehgal, Shalini and Vasudha Sharma. "Palm/Palm Kernel (Elaeis guineensis)."Oilseeds: Health Attributes and Food Applications(2021): 145-161.
  4. Google Scholar, Indexed at

  5. Sridhar, Mynepalli KC and Olugbenga O. Adeoluwa. "Palm oil industry residues."Biotechnology for Agro-Industrial Residues Utilisation: Utilisation of Agro-Residues(2009): 341-355.
  6. Google Scholar, Crossref, Indexed at

  7. Enyoh, Christian Ebere, Ezechiel Amarachukwu Ihionu, Andrew Wirnkor Verla and Patricia Ngozi Ebosie, et al. "Physicochemical parameter of palm oil and soil from Ihube community, Okigwe, Imo State Nigeria."Int Lett Nat Sci 62 (2017).
  8. Google Scholar, Crossref, Indexed at

  9. Chinedu, Enyoh Emmanuel, Enyoh Christian Ebere and Amaobi Collins Emeka. "Quality assessment of palm oil from different palm oil local factories in Imo State, Nigeria."World Sci News 88 (2017): 152-167.
  10. Google Scholar, Indexed at

  11. Pande, Garima, Casimir C. Akoh and Oi-Ming Lai. "Food uses of palm oil and its components." InPalm oil (2012): 561-586.
  12. Google Scholar, Crossref, Indexed at

  13. WebMD editorial contributors (2022). Palm Oil: Are there Health Benefits?
  14. Gee, Ping Tou. "Analytical characteristics of crude and refined palm oil and fractions."Eur J Lipid Sci Technol 109 (2007): 373-379.
  15. Google Scholar, Crossref, Indexed at

  16. Tan, Chin-Ping and Imededdine Arbi Nehdi. "The physicochemical properties of palm oil and its components." InPalm oil (2012): 377-391.
  17. Google Scholar, Crossref, Indexed at

  18. Izah, Sylvester C. and Elijah I. Ohimain. "Microbiological quality of crude palm oil produced by smallholder processors in the Niger Delta, Nigeria."J Microbiol Biotechnol 3 (2013): 30-36.
  19. Google Scholar, Indexed at

  20. Kenechi, Nwosu-Obieogu, Aguele Felix, Chiemenem Linus and Adekunle Kayode. "Analysis on the physicochemical properties of palm oil within Isialangwa local Government area of Abia State, Nigeria."Int j bioorg chem 2 (2017): 159-162.
  21. Google Scholar, Crossref, Indexed at

  22. Zou, Yanping, Yuanrong Jiang, Tiankui Yang and Peng Hu, et al. "Minor constituents of palm oil: Characterization, processing and application." InPalm oil, 471-526. AOCS Press, 2012.
  23. Google Scholar, Crossref, Indexed at

  24. Sundram, Kalyana, Ravigadevi Sambanthamurthi and Yew-Ai Tan. "Palm fruit chemistry and nutrition."Asia Pac J Clin Nutr 12 (2003).
  25. Google Scholar, Indexed at

  26. Spence, Charles. "The psychological effects of food colors." InHandbook on natural pigments in food and beverages (2016).
  27. Google Scholar, Indexed at

  28. Li, Yongxin, Yi Yang, Shuo Yin and Chen Zhou, et al. "Inedible azo dyes and their analytical methods in foodstuffs and beverages."J AOAC Int 101 (2018): 1314-1327.
  29. Google Scholar, Crossref, Indexed at

  30. Yim, Kyung June, Joseph Kwon, In-Tae Cha and Kyung-Seo Oh, et al. "Occurrence of viable, red-pigmented haloarchaea in the plumage of captive flamingoes."Sci Rep5 (2015): 16425.
  31. Google Scholar, Crossref, Indexed at

  32. Ma, Ming, Xubiao Luo, Bo Chen and Shengpei Su, et al. "Simultaneous determination of water-soluble and fat-soluble synthetic colorants in foodstuff by high-performance liquid chromatography–diode array detection–electrospray mass spectrometry."J Chromatogr A1103 (2006): 170-176.
  33. Google Scholar, Crossref, Indexed at

  34. Bienstock, Rachelle J., Lalith Perera and Melissa Pasquinelli. "Molecular modeling study of the genotoxicity of the sudan I and sudan II Azo dyes and their metabolites."Front Chem(2022): 586.
  35. Google Scholar, Crossref, Indexed at

  36. Stiborova, Marie, Heinz H Schmeiser, Eva Frei, Petr Hodek and Vaclav Martinek. "Enzymes oxidizing the azo dye 1-phenylazo-2-naphthol (Sudan I) and their contribution to its genotoxicity and carcinogenicity."Curr Drug Metab 15 (2014): 829-840.
  37. Google Scholar, Crossref, Indexed at

  38. Lewis, Robert A.Hawley's condensed chemical dictionary. John Wiley & Sons, (2016).
  39. Ekpa, O. D. and R. U. B. Ebana. "Comparative studies of mmanyanga, palm and coconut oils: Antimicrobial effects of the oils and their metallic soaps on some bacteria and fungi."Glob J Pure Appl 2 (1996): 155-163.
  40. Google Scholar, Indexed at

  41. Okolo, J. C. and B. A. Adejumo. "Effect of bleaching on some quality attributes of crude palm oil."J Eng 4 (2014): 25-27.
  42. Google Scholar, Crossref, Indexed at

  43. Food and Agriculture Organization (FAO) United Nations Organizations, (2002).
  44. American Oils Chemists Society (AOCS), Official Analytical Methods of Analysis, 14th Edition, (2012).
  45. Jane, Maduelosi Ngozi and Cookey Grace. "Investigation of the effects of repeated frying on the quality of vegetable oil."Am J Appl Chem 8 (2020): 117-120.
  46. Google Scholar, Crossref, Indexed at

  47. Tewari, K. S. A. Textbook of Chemistry, (2004): 594-600
  48. Orji, Michael U. and Theodore I. Mbata. "Effect of extraction methods on the quality and spoilage of Nigerian palm oil."Afr J Biochem Res 2 (2008): 192-196.
  49. Google Scholar, Indexed at

  50. Maduelosi, N. Jane, Faithwin G. Obomanu and G. Kuta Fekarurhobo. "Dye-Sensitized photo-oxidation of some vegetable oils."J Emerg Trends Eng Appl Sci3 (2012): 740-742.
  51. Google Scholar, Indexed at

  52. Zahir, Erum, Rehana Saeed, Mehwish Abdul Hameed and Anjum Yousuf. "Study of physicochemical properties of edible oil and evaluation of frying oil quality by Fourier Transform-Infrared (FT-IR) Spectroscopy."Arab J Chem 10 (2017): S3870-S3876.
  53. Google Scholar, Crossref, Indexed at

Google Scholar citation report
Citations: 6818

Environmental & Analytical Toxicology received 6818 citations as per Google Scholar report

Environmental & Analytical Toxicology peer review process verified at publons

Indexed In

 
arrow_upward arrow_upward