GET THE APP

Antibiotic Prophylaxis for Transarterial Chemoembolization of Hepatocellular Carcinoma: A Systematic Review and Meta-Analysis
Molecular and Genetic Medicine

Molecular and Genetic Medicine

ISSN: 1747-0862

Open Access

Research Article - (2019) Volume 13, Issue 1

Antibiotic Prophylaxis for Transarterial Chemoembolization of Hepatocellular Carcinoma: A Systematic Review and Meta-Analysis

Li Y#, Qing-An Z, Wu M#, Guo Z and Jin H*
*Correspondence: Jin H, Guangdong Provincial Key Laboratory of Biomedical Imaging, Guangdong Provincial Engineering Research Center of Molecular Imaging, The Fifth Affiliated Hospital of Sun Yat-sen University, E. 52, Meihua Road, Zhuhai, Guangdong Province, 519000, P.R. China, Tel: +86 213420675, Email:
Guangdong Provincial Key Laboratory of Biomedical Imaging, Guangdong Provincial Engineering Research Center of Molecular Imaging, The Fifth Affiliated Hospital, Sun Yat-sen University, Zhuhai, Guangdong Province, P.R. China
#Equally contribution

Received: 27-Feb-2019 Published: 13-Mar-2019
Citation: Li Y, Qing-An Z, Wu M, Guo Z, Jin H (2019) Antibiotic Prophylaxis for Transarterial Chemoembolization of Hepatocellular Carcinoma: A Systematic Review and Meta-Analysis. J Mol Genet Med 13: 406 doi:10.4172/1747- 0862.1000406
Copyright: © 2019 Li Y, et al. This is an open-access article distributed under the terms of the Creative Commons Attribution License, which permits unrestricted use, distribution, and reproduction in any medium, provided the original author and source are credited

Abstract

Purpose: Owing to persistent controversy regarding the use of routine antibiotic prophylaxis in patients undergoing transarterial chemoembolization (TCAE) and the availability of several new studies published on the subject, we conducted an up-to-date meta-analysis to provide the best current evidence. The aim of the article is to assess whether antibiotic prophylaxis is effective in reducing the incidence of infectious complications after TCAE.

Materials and methods: PubMed, Google scholar, Cochrane Central Register of Controlled Trials, CNKI and Wan-Fang database were searched through October 2018 for randomized or non-randomized controlled trials for comparing the use of prophylactic antibiotics in TACE with placebo or no antibiotics were included in the review. Pooled effect estimates were calculated using fixed-effects and random-effects models.

Results: Eight studies with a total number of 1672 of procedures were included in the meta-analysis. We found no evidence of publication bias or heterogeneity among the studies. Antibiotic prophylaxis did not reduce the incidence of infectious complications (risk ratio [RR] 0.88, 95% confidence interval [CI] 0.62 to 1.24, p=0.464) and the rate of patients developing fever (RR 1.04, 95% CI 0.91 to 1.19, p=0.595). When the analyses were stratified into subgroups, there was no evidence that study design substantially influenced the estimate of effects. Furthermore, the sensitivity analysis confirmed the stability of our results.

Conclusion: Although current evidence demonstrates that the routine use of antibiotic prophylaxis for TACE may not be necessary, more evidence from advanced multi-center studies is needed to provide instruction for the use of prophylactic antibiotics.

Keywords

Transarterial chemoembolization; Meta-analysis; Prophylactic antibiotics; Systematic review

Introduction

Hepatocellular carcinoma (HCC) ranks as the fifth most common tumor and the third leading cause of global cancer-related mortality, with China alone accounting for about 50% of the total number of cases and deaths. In Western Europe, parts of Oceania and Northern America with liver cancer historically low rates, the incidence is increasing [1]. Although the improvement in early diagnosis and the advances in treatment, only a fraction of patients has been treated surgically such as liver transplantation and resection [2]. Transarterial chemoembolization (TACE) is widely used locoregional therapies in the treatment of hepatocellular carcinoma (HCC) by occluding the segmental hepatic artery in combination with the injection of chemotherapeutic agents, usually mixed with lipiodol. It can kill or inhibit tumor cells, reduce or delay the chance of local recurrence or metastasis, improve prognosis with generally well tolerance, and is increasingly being used for unresectable intermediate and advanced HCCs [3-5].

Complications from TACE may include upper quadrant pain, nausea, moderate ileus, fatigue, impaired liver function and postprocedure infectious complications. Patients with HCC often occur with a background of cirrhosis and decreased resistance to bacterial infection. Once a patient has been infected, it would often result in a more serious disease and a worse outcome. Therefore, some groups administer prophylactic antibiotics in order to prevent the potential development of bacterial infections [6,7]. At the same time, the abuse of antibiotics is of concern and now regarded as a major public health problem. The abuse of antibiotics not only can induce adverse drug reactions and the occurrence of drug-induced diseases, but also result in antibiotic resistance [8,9]. Antibiotic prophylaxis for TACE has been studied, but the benefit is still under debate. Currently, there are no guidelines for prophylaxis before or during TACE [10].

One meta-analyses have demonstrated that antibiotic prophylaxis in patients undergoing TACE for HCC may not be routinely necessary [11]. However, this meta-analysis was conducted with relatively small sample sizes and low statistical powers. Primary outcomes such infection outcomes could not be presented as a pooled analysis. Owing to persistent controversy regarding the use of routine antibiotic prophylaxis in patients undergoing TACE and the availability of several new studies published on the subject, we conducted an up-todate meta-analysis to provide the best current evidence on this topic [12-15].

Materials and Methods

Data collection and analysis

Searches: A systematic review of literature was performed by searching the following data sources: PubMed, Google scholar, Cochrane Central Register of Controlled Trials and two Chinese databases (CNKI and Wan-Fang database) up to October 2018. We used the following search terms and corresponding keywords: “hepatocellular carcinoma”, “embolization”, “chemoembolization” and “antibiotic prophylaxis”. Additional articles were identified from the reference list of relevant studies and reviews. We did not impose a language restriction.

Inclusion and exclusion criteria: Studies were considered for inclusion in the current meta-analysis if they met the following criteria:

1) Randomized controlled trial (RCT) or observational study.

2) Included patients with HCC undergoing transarterial therapy who were assigned to prophylactic antibiotics vs. either placebo or no treatment.

3) Which reported at least one of the specified outcome measures.

4) Any proven systemic infection such as bacteremia, septicemia and sepsis (confirmed with positive blood culture), hepatic abscess (confirmed with radiological features) and other clinical indications of infection, according to the "diagnostic criteria for nosocomial infection (Trial)" issued by Ministry of Health of China in 2001 issued which research have being conducted in China or defined by individual studies which research have being implemented outside China. We excluded studies that compared the effects of different antibiotics or different regimens of one antibiotic. Furthermore, we excluded studies lacking control groups.

Study selection: Two reviewers independently reviewed the studies and assessed the eligibility for further analysis. Any disagreements were resolved by discussion. Extracted data included first author, publication year, country, trial design, participants, transarterial techniques, antibiotic regimens, follow-up duration and outcome measures. If outcomes were presented from the studies at different time points, we extracted data from the latest time point. We contacted the corresponding author by e-mail to abstain missing data when necessary.

Risk of bias: To explore the impact of potential effect modifiers on outcomes, stratified analysis was conducted according to the study design (RCT or observational study). A sensitivity analysis was performed to evaluate the influence of each individual study by omitting one study at a time.

Statistical analysis: Statistical analyses were performed using STATA software version 12.0 (STATA Corporation, College Station, TX, USA). The relative risk (RR) and corresponding 95% confidence interval (CI) were computed for dichotomous variables. A fixed effect model was used to pool studies with no significant heterogeneity, as determined by the chi-squared test (p>0.10) and the inconsistency index (I2<30%). Heterogeneity of effects was evaluated using the Q statistic; the I2 index was used to estimate the percentage of variation across studies due to heterogeneity rather than chance. Meanwhile, we used a funnel plot to assess the presence of publication bias. When possible, stratified analyses were conducted by type of study (RCT and non RCT). Two-sided p ≤ value 0.05 was considered statistically significant, whereas it was set at p ≤ 0.10 for the presence of heterogeneity and publication bias.

Results

Trial identification

Four hundred and thirty-two records were identified by the primary computerized literature search. After reviewing the title and abstract, 224 did not fit with our inclusion criteria and were therefore excluded. We retrieved 43 potentially relevant manuscripts for additional review. The full text was read, and the reference lists were checked. Finally, 8 studies with 1672 procedures were included in the current metaanalysis (Figure 1) [12-19].

molecular-genetic-medicine-prisma

Figure 1. PRISMA 2009 flow diagram.

Characteristics of included studies

The basic characteristics of selected studies were listed in Table 1. Among the eight trials, four were retrieved as RCTs, while the other was a retrospective controlled study [12-19]. There are four trails included TACE procedures performed more than once in the same HCC patient, but provided all outcomes of data referring to the TACE procedures [12-14,16]. Therefore, the current meta-analysis included 1672 procedures in these 1294 patients and all data below refer to 1672 procedures include 1143 procedures in antibiotic therapy group compared with 529 procedures in non-antibiotic therapy group. Two RCTs and two Non-RCTs were excluded the patients with the high risk of infection, and there were no statistically significant differences in age, tumor size, child-pugh classification, and neutrophil granulocyte rate before operation between antibiotic therapy group and non-antibiotic therapy group [12,13,15,17]. Another two RCTs and two Non-RCTs were not excluded the patients with the high risk of infection; two RCTs account for the similarities of the baseline patient characteristics of these two groups, while two Non-RCT makes no further reference to these [14,16,18,19]. Of the eight trials, six used TACE to treat HCC, one used TAE and in the remaining trial were treated with TAE, TACE or transarterial Yttrium-90 [12-19]. The method of the transarterial technique used for HCC was clearly described in six trials, while the procedure was not described in the other two [12-19]. Antibiotics were always administered intravenously, with cephalosporin or quinolone or a combination of metronidazole being the most used. Administration time was less than 24 hours in two trials, longer than 24 hours in four trials and not mentioned in other two trials [12-19]. In addition, among these studies, five were conducted in Asia, one in North America, and two in Europe [12-19].

Table 1: Characteristics of trials included in the meta-analysis.

Study Design n Basic Data: Age; male (%);
tumor (solitary/multiple); C-P class(A/B)
Antibiotic Regimen Outcome
AB/ ØAB AB ØAB AB ØAB
Castells [16] RCT 37/38 60 ± 9; 86; 8/29; 31/6 61 ± 8; 79; 4/34; 30/8 Cefotaxime and metronidazole Not used Infect. CO
Wang [17] RCT 31/29 NR; NR; NR; NR NR NR; NR; NR cefazolin Not used Infect. CO
Plentz [18] RCT 15/15 62.2; 87; 6/9; 15/0 65.2; 87; 5/10; 15/0 ciprofloxacin and metronidazole Not used Infect. CO
Shelgikar [19] OS, P 31/28 56;78; NR; NR 56; 78; NR; NR cefazolin and metronidazole Not used Infect. CO
Gao [12] RCT 56/45 53 ± 11; 80; 23/33; 51/5 52 ± 9; 84; 11/34; 44/1 cefuroxime Not used Infect. CO
Qu [13] OS, P 100/50 NR; NR; NR; NR NR NR; NR; NR Cefazolin or Cefoxitin Not used Infect. CO
Zhu [14] OS, R 514/145 NR; NR; NR; NR NR NR; NR; NR Cephalosporins or fluoroquinolones Not used Infect. CO
Qiu [15] OS, R 359/179 53 ± 13; 92; NR; 304/55 52 ± 12; 96; NR; 144/35 NR Not used Infect. CO

Treatment Efficacy

Primary outcome

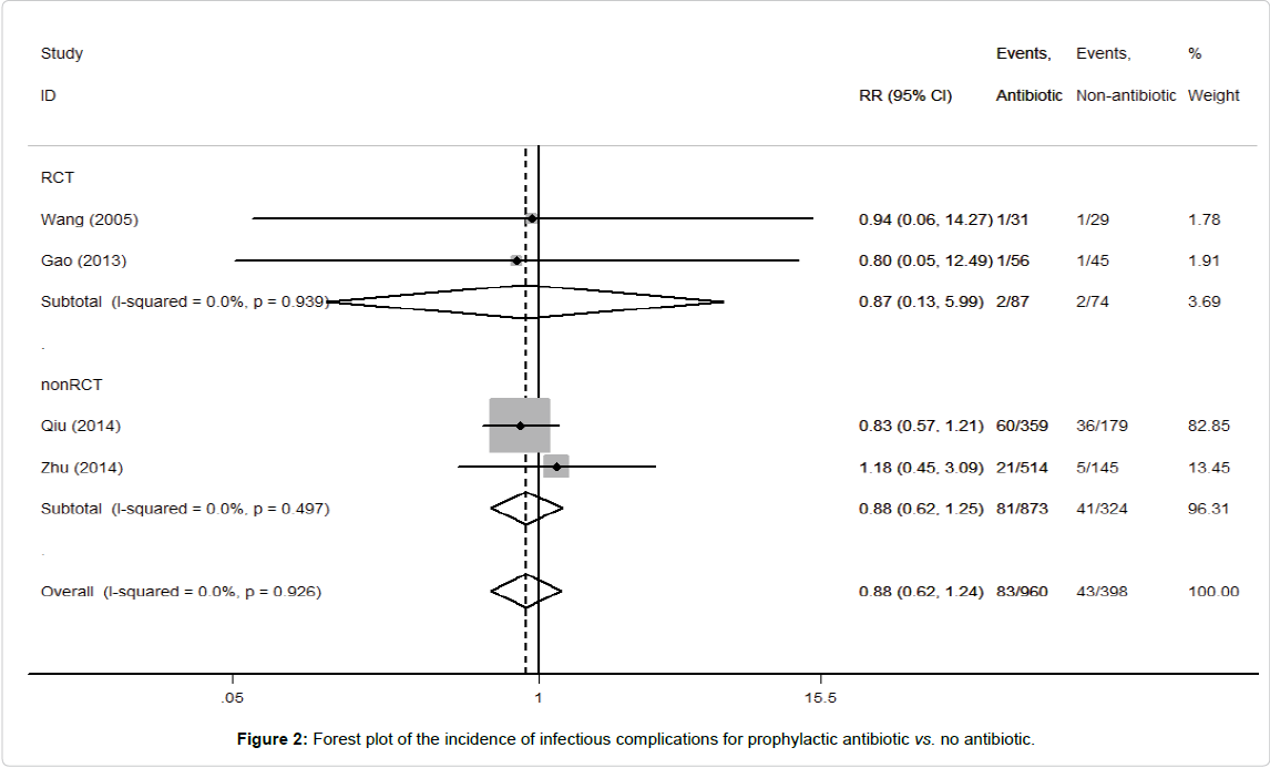
The incidence of infectious complications: Of the 8 studies included in the meta-analysis, 4 studies reported at least 1 case infection, whereas the other 4 studies observed no infection. So, there were 4 studies with 1358 participants included in the analysis. As showed in Figure 2, the heterogeneity between the studies was not significant (I2=0.0%, p=0.926). Thus, we chose the fixed effect model to synthesize the data and found no significant difference between prophylactic antibiotic and no antibiotic group (RR=0.88, 95% CI=0.62 to 1.24, p=0.464) (Figure 2). In the stratified analysis by type of study, there was no evidence of significant effect changed (Only RCT: RR=0.87, 95% CI: 0.13 to 5.99, p=0.885; Only non-RCT: RR=0.88, 95% CI=0.62 to 1.25, p=0. 473) (Figure 2). Meanwhile, after sequentially excluding each study, the point estimation of the combined effect has fallen within the 95% CI of total combined effect, suggesting the stability of this metaanalysis (Figure 3). The publication bias was not obvious suggested by the symmetrical funnel plot and further supported by the Egger’s test (p=0.329) (Figure 4).

molecular-genetic-medicine-plot

Figure 2. Forest plot of the incidence of infectious complications for prophylactic antibiotic vs. no antibiotic.

molecular-genetic-medicine-stability

Figure 3. Sensitivity analyses for assessment of stability for the incidence of infectious complications.

molecular-genetic-medicine-funnel

Figure 4. Funnel plot for assessment of publication bias for the incidence of infectious complications.

Secondary outcomes

The incidence of patients developing fever: Data on the fever were available from 6 studies with 1074 participants included. We used a fixed effect model as well as the six independent studies that showed not significant heterogeneity in the consistency of the trial results (I2=0.0%, p=0.595) and found no significant difference between prophylactic antibiotic and no antibiotic treatment (RR=1.04, 95% CI 0.91 to 1.19, p=0.595) (Figure 5). Stratified analyses were performed by type of study, no obvious difference demonstrates between RCT and non-RCT group (Only RCT: RR=1.39, 95% CI=0.85 to 2.29, p=0.191; Only non- RCT: RR=1.00, 95% CI=0.87 to 1.14, p=0.945) (Figure 5). Meanwhile, systematically removing each study did not markedly affect the pooled RR and corresponding p-value, which further supported our finding with robust evidence and statistically significant (Supplementary Figure 1). The publication bias was not obvious suggested by the symmetrical funnel plot and further supported by the Egger’s test (p=0.536) (Supplementary Figure 2).

molecular-genetic-medicine-prophylactic

Figure 5. Forest plot of the incidence of patients developing fever for prophylactic antibiotic vs. no antibiotic.

Discussion

The previous meta-analysis examined the content of four clinical trials and 210 patients, only 2 patients from one clinical trial experienced a possible postprocedure infectious complication, so infection outcomes could not be presented as a pooled analysis [11]. This study added 4 clinical trials and 1448 procedures to the latest update published in 2018 and found 124 procedures from three clinical trials suffer from an infectious complication [12-15]. Combined results found the infectious complication showed no significant differences between antibiotic and no antibiotic group. The present study also confirmed the findings of previous research that prophylactic antibiotic use cannot reduce the rate of patients developing fever. Overall, the results of the present study indicate that the incidence of infectious complication after TACE is rare. Therefore, the routine use of antibiotic prophylaxis for TACE may be no need.

TACE are frequently used in the treatment of inoperable HCC as well as liver metastasis. The technology has been perfected and improved in the past 30 years and has been widely used in the world [5,20]. TACE selective or super selective insertion of the catheter into the target artery of the tumor, appropriate amount of embolic agent was injected at a proper rate, occlusion of the target artery, has caused ischemic necrosis of tumor tissue. Both procedures induce necrosis of the tumor and some surrounding liver tissue. This area of necrosis may serve as a nidus for infection. In addition, patients with HCC often have hepatic functional damage and decreased resistance to bacterial infection.

These procedures may cause the occurrence of infection in several ways. First, the infection caused by bacteria on the skin via the skin puncture route. But according to Chen C, during operation of TACE, only 0.7% catheters tip with positive cultures and microorganisms which were from skin wipe culture, catheter tip culture and microorganisms causing infection complications are not the same strain [21]. With the improvement of aseptic technique and instruments (for example, a thinner disposable catheter means fewer puncture points and fewer complications such as hematoma), the risk of the bacterial invasion from the puncture point to the body will be further reduced.

Secondly, the infection caused by bacteria on the intestine via the biliary system. Bacterial infection of liver, especially pyogenic liver abscess has essentially become a problem of biliary or iatrogenic origin. The use of prophylactic antibiotics for TACE is mainly for the prevention of the infection of intestinal bacteria, and these are the key aspects of the debate on preventive antibiotics. Two different situations were observed in clinical: when the patient with the integrity of the bile duct, the overall incidence of infection following TACE is low. Although the frequency of hepatic abscess after TACE varies by region, the overall incidence is fairly low, ranging from 0 to 1.4% [10,22]. On the other hand, the incidence increases in patients who have an intermediary anastomosis [23,24]. In these patients, the problem does not just lay in TACE itself but also in the dysfunctional sphincter of oddi which allows retrograde contamination of the biliary tract. There are special issues that you should consider in selecting antibiotic for those patients: whether excretion through the bile duct and directed against intestinal bacteria, and history of antibiotic use which could cause resistance to conventional antibiotics.

Thirdly, the infection is caused by bacteria from local infection via direct extension or from systemic bacteremia, such as pneumonia, appendicitis. In the early 1900s, the most common cause of hepatic abscess was pylephlebitis secondary to appendicitis [25]. Giving antibiotics to patients with infection is therapeutic non-preventive purpose, and patients with infection were excluded by the studies included in this meta-analysis. Obviously, this is not consistent with the topic of the present study and no further discussion in here.

In short, most patients do not need antibiotic prophylaxis and in a small number of high-risk patients, conventional antibiotics should be of no use because of unreasonable choice of antibiotic and (or) unreasonable medication route, so all of those patients should be failure to benefit from routine prophylactic antibiotic use.

Although the studies included in our meta-analysis do not provide those data, the cost of antibiotics abuse such as, the side effects of antibiotics, increased the economic burden of individual patients, led to a waste of medical resources and contributed to the increase of resistant strains should be under serious consideration because these results are of prime importance in justifying the treatment strategy for patients with HCC.

Several limitations of the present meta-analysis should be admitted. First, the selected studies were not all RTC studies, and bias can be introduced in a retrospective review that does not have randomized, prospectively matched groups. Second, the results of our study should be interpreted with caution because of the relatively small sample sizes of included trials suggesting that they were statistically underpowered. The incidence of confirmed bacteremia and liver abscess after TACE is low. If postoperative infection rates were <5%, a worthwhile study to determine the possible effects of prophylaxis on such infections might need to enrol 1000 patients, and these trials may not be able to detect significant differences with such small sample sizes [26]. Third, the results of this study may not be applicable to high-risk patients, including those with a choledocho-enterostomy, those had history of sphincterotomy or biliary drainage.

Conclusion

In conclusion, the present meta-analysis shows that the routine use of antibiotic prophylaxis for TACE may not be necessary. However, the benefits and risks of antibiotic prophylaxis should be considered fully in high-risk patients, especially for those with choledocho-enterostomy or history of sphincterotomy or biliary drainage. Nevertheless, more evidence from advanced multi-center studies is needed to provide instruction in the use of prophylactic antibiotics for TACE.

Financial Support

National Natural Science Foundation of China (81871382); National Key R&D Program of China (2018YFC0910601) and Starting Fund of Sun Yat-sen University the Fifth Affiliated Hospital (220904094238).

Conflict of Interest

None.

References

Google Scholar citation report
Citations: 3919

Molecular and Genetic Medicine received 3919 citations as per Google Scholar report

Molecular and Genetic Medicine peer review process verified at publons

Indexed In

 
arrow_upward arrow_upward