Research Article - (2021) Volume 0, Issue 0
		Received: 07-Dec-2021			
					
					
		
		Published:
		28-Dec-2021		
				
				
		
 Citation: Khan, Arshia A, Yumna Anwar and Nam Phung “Sensor Based Prevention of Pressure Ulcers: Weight Offloading Detection and
  Prompting Mechanism Verification.” J Sens Netw Data Commun 10 (2021): 010.		
		
 Copyright: © 2021 Khan AA, et al. This is an open-access article distributed under the terms of the creative commons attribution license which permits unrestricted use, distribution and reproduction in any medium, provided the
  original author and source are credited.		
Spinal cord Injury can have a debilitating and traumatic effect on affected individuals. The impact is far reaching, including emotional, physical, economic, and social. This impact id not only on the affected individuals, but also their family members, caregivers and the society as well. Prevalence of pressure ulcers was found to be 33.9% in patients with quadriplegia, 47.4% in patients with paraplegia, and 9.6% in patients who had hemiplegia. Pressure ulcers are a debilitating and undesirable complication of traumatic spinal cord injury that can be prevented using wearable sensors and mobile devices. Weight offloading is one of the recommended solutions to prevent pressure ulcers. Our team designed and developed a mobile application that was tied to a pressure sensor mat, used to track and monitor weight offloading. Our sensor-based system was designed to measure two outcomes-one, verify weight offloading and two-to investigate if prompting an individual can help them remember to weight offload. Our analysis showed that most patients remember to perform weight offloading exercises with initial assistance of technology. We designed a new threshold-based algorithm for our sensor-based system to detect weight offload called COMpredict. The prediction accuracies of the algorithm are relatively high with approximately 90% of accuracy for most weight shifting tests and 70.49% for wheelchair push up test.
Sensors • Pressure ulcers • Weight shifting • Spinal cord Injury • Mobile app
Individuals affected with Spinal Cord Injury (SCI) are faced with devastating and unfavourable consequences which not only affects them but also their family members, caregivers as well as the entire society. The effects can be physical, emotional and social. Pressure ulcers are common among people with spinal cord injuries. The pressure ulcers occur in soft tissue closer to the bony prominences causing debilitating and undesirable complications after traumatic Spinal Cord Injury (SCI) [1]. A pressure ulcer also known as a deep tissue injury can be described as a wound that is developed due to increased ischemic pressure on tissue above the bony structures caused by breaking down of the skin and the underlying tissue when placed under constant pressure [2].
The pressure ulcers are very common among people with spinal cord injuries and leads to higher morbidity and mortality in addition to increased hospitalizations, which ultimately results in increased healthcare costs. In US alone annually about 11 Billion dollars are spent on pressure ulcer cases. Apart from the financial burden and the painful treatment, the restricted life of the patients affects the family members as well. The pressure ulcers can cause discomfort to the individual. In some situations, the ulcers ooze secretions that emanate foul odour causing the individual to avoid social interactions and ultimately developing into deeper psychological problems [3,4]. Individuals affected with quadriplegia and paraplegia have a higher risk of pressure ulcers than people affected with hemiplegia, with the risk factors being highest for the individuals affected with paraplegia [5]. Additionally, the average age of SCI has increased from 40 years to 50 years, which implies that the SCI is occurring in older people more than it used to since 1993. This could also be due to falls [6,7].
Weight offloading also known as weight shifting is a precautionary pressure relief mechanism to prevent pressure ulcers. This process restores blood flow and offers relief to the parts of the skin that are weighted down due to body weight. Weight offloading involves lifting one leg at a time or lateral trunk lean or forward trunk lean, wheelchair pushups and wheelchair lean.
The design of our study involved prompting the participants to weight offload using our mobile app. The participants were sitting on a chair that had a pressure sensor mat placed on the seat of the chair. The data was gathered from the pressure sensor mat and evaluated to verify if weight offloading was happening. The other component of this study was to investigate if prompting participants of weight offloading frequently would help them remember to weight offload on their own.
• The primary outcome of our study was to verify weight offloading/ shifting. This was accomplished by tracking the pressure sensors in the pressure sensor mat.
• The secondary endpoint of our study was to investigate if prompting an individual can help them remember to weight offload. This was accomplished by reminding the participant to weight offload frequently and then see if they remembered to weight offload when not reminded.
Below shows the pressure sensor mat, which is a fabric mat with 256 miniature pressure sensors embedded in between the pieces of fabric that was used in this study. This mat was not Wi-Fi enabled, hence we Bluetooth enabled it by adding the hardware.
A pressure sore or ulcer is caused due to pressure that is exerted on the patient support interfaces for an extended period of time. Persistent pressure reduces blood flow to the area of interfaces causing the skin to breakdown. Two variables that play a critical role in the development of pressure ulcers are (i) the presence of acute pressure for a (ii) prolonged period of time [8,9]. The treatment of pressure ulcers, apart from being painful and long is quite expensive as well. The estimated cost of a single patient suffering from pressure ulcers is between 500 and 150,000 dollars [10]. Apart from the financial burden and the extreme pain, patients suffering from pressure ulcers have restricted living conditions that negatively impact their lives as well as their families’ lives. The high mortality rate and 2.5 million pressure ulcer cases each year in the United States alone, calls for an alternate better preventive approach [10].
Approximately 5% to 30% of all hospitalized patients develop pressure ulcers depending on their condition [11]. 28.9% patients in communities and 27% in nursing homes develop pressure ulcers [9]. It is most common among patients with spinal cord injuries or elderly patients with physical disabilities. Seventy percent of all pressure ulcers are among the elderly [6,12]. Pressure ulcers cause discomfort, pain, reduced mobility leading to loss of independence in addition to various medical complications such as hospitalizations, risks of infections, morbidity, mortality and isolation due to the odour that emanates from the ulcer site. Pressure ulcers cause a significant increase in healthcare management and costs [6,9,13].
Some current preventive measures for pressure ulcers include using high specification foam mattresses, alternating-pressure mattresses, dressings and pressure monitoring [14]. There has been a lot of work on pressure monitoring devices, such as warning devices with reminders, monitoring using pressure sensors, pressure loggers, air filled seat cushion and detection of air loss etc [15]. Some work has also been done on a combination of these amalgamated with a smart device [15-17].
He conducted a study where patients in the nursing home who were in wheelchairs were given a skin protectant or a segmented foam cushion [13]. They observed that there was a lower incidence of pressure ulcers in patients who were given skin protection or cushions. Hence allowing the skin under pressure a means to relieve the pressure via shifting weight or positions iteratively has the potential to increase blood flow to the tissue under pressure. Repositioning and weight shifting frequently can reduce the incidence of pressure ulcers [3]. There is strong evidence suggesting frequent redistribution of weight or repositioning as a preventive care in the reduction of pressure ulcers [13]. Unrelenting release of pressure every 15 to 30 minutes, by repositioning, tilting or shifting, moving from the wheelchair to a bed or a chair every few hours is imperative to avoid decubitus ulcers [9]. Patients in wheelchairs with minimal mobility after spinal cord injuries have little sensation in their lower body and are likely to not feel any pressure or pain and hence forget to perform weight offloading [18]. A study involving altering cushions (also known as dynamic cushions) concluded an increase in oxygenated haemoglobin and decrease in deoxygenated haemoglobin in the ischial region, with no discomfort reported by the participants [19].
In this study 10 healthy participants will be recruited via email invitations to participate in this study. The respondents were blind copied so as to not mistakenly alert others of a potential participants involvement. The participants were informed of the data collection process and had the opportunity to participate in the study by signing the consent form. Each participant was asked to sit for 15 minutes on a chair that had the pressure sensor mat placed on the seat. Every three minutes the mobile app on a tablet prompted the user to perform weight offloading. The app instructed the offloading process if the participant did not know how to. The data from the pressure sensors was collected and analysed to verify if the weight offloading was happening. The protocol can be seen in Figure 1. It demonstrates the weight offloading/shifting in p.
Study design
The appropriate permissions from the Institutional Review Board (IRB) were secured; IRB#00005143; approval date November 29 2018.
In this user study we tested a combined system of a mobile app and a pressure sensor mat that we have created to help perform and verify weight offloading. This study was conducted with healthy patients to verify that the forward lean and lateral lean movements can be tracked accurately using the accelerometer and a pressure mat to ensure that the weight shifting/ offloading was correctly performed. The following were two objectives that were attempted to address in this study by observing and tracking the weight offloading data gathered from the pressure sensor mat in this study:
1. How can we verify weight offloading?
2. Can prompting an individual help them remember to weight offload?
The specific aims of this study were to test our app to verify if our device can verify weight offloading and if reminding a person to weight offload would help them remember to weight offload on their own even when they are not prompted to weight offload. The participants will be asked to sit for 15 minutes on a chair that has the pressure sensor mat placed on the seat. Every three minutes the mobile app on a tablet will prompt the user to perform weight offloading. The app will instruct the offloading process if the participant does not know how to it. The data from the pressure sensors will be collected and analysed to verify if the weight offloading was happening.
Pre-experimental steps included obtaining an informed consent from each individual prior to any activity.
The study protocol was 15 minutes long per participant, where each participant was prompted to weight offload every 3 minutes for 9 minutes and then we waited to see if the participant would remember to weight offload in the next 6 minutes.
The results show that COMpredict has a relatively high accuracy. COMpredicts has the lowest prediction rate for wheelchair push-up test (70.49%). The low accuracy does not suggest that our algorithm failed to detect the wheelchair push-up exercise. Using the wheelchair push-up result that we obtained from our algorithm together with our observation during the data collection process, we believe that the resulting low accuracy was mostly due to the inability of the participants to perform the wheelchair push-up exercise correctly due to the difficulty-level of this exercise.
Pressure mattress and system protocol
The PS-256 pressure mapping mattress was used in the study to make the technology more affordable. Because this mattress lacks wireless ability, which is required by the app in order to track body movement, a solution was developed to upgrade the pressure mapping mattress by adding Bluetooth Low Energy (Bluetooth LE) technology. Bluetooth LE is wireless personal area network technology designed for healthcare, fitness, and household devices.
The pressure mapping mattress that we are using consists of 256 pressure sensors. The data from these sensors form a 166 matrix with each row and column position corresponds to the actual position of each sensor in the mattress. Using the data from these sensors, we can write an algorithm that determines the leaning direction of the patient seated on the mattress. Firstly, we developed a solution to enhance the pressure mapping mattress by using a Raspberry Pi 3 to read the data from the mattress and transfer that data to the mobile app. A simple program was written in Python programming language to communicate with the pressure mattress through the serial port in the computer to extract the required data. Another program was written in JavaScript to help transfers this data using the builtin Bluetooth Low Energy module of the Raspberry Pi 3. below explains the protocol of the system that we designed.
Development of the algorithm
In the previous study, we used the built-in accelerometer in the mobile device to track the body movement of the patient [3,4]. However, the testing shows that the accelerometer failed to provide a reliable result and did not work as intended. That is to say, we developed a new algorithm called COMpredict to track.
COMpredict Algorithm

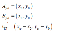
Assume that the data we have from the mattress are 2 square matrices A and B representing pressure values before and during a weight shift exercise performance. We can calculate the coordinate of the centre of mass of each matrix as shown in Equation 1.

After the centre of mass of each matrix is calculated, we can calculate the vector formed by the centre of mass of matrix A and B using the formula in Equation. 2 below:

With the vector VH,I calculated, a counter clockwise angle ϴ between the x-axis and VH,I can be calculated. The algorithm will classify the displacement of the centre of mass as a forward lean or sideway lean using this angle ϴ.
Data analysis
Our data analysis results indicate that 60% of the patients do not require the assistance of technology to be reminded to perform weight shifting exercises after the initial recurrent reminding phase. Only 10% of the patients failed to recall doing exercises when assistive technology was not involved. The details of this analysis can be seen in Figure 2.
We examined the pressure sensors data from the participants and used the data to analyse the performance of COMpredict. Each participant was asked to perform four different weight shifting exercises (forward trunk shift, wheelchair push-up, left lateral trunk shift, and right lateral trunk shift) for seven times each, resulting in 28 pressure map data for each patient and 280 pressure map data in total. For this experiment, four variables were examined to determine the performance of COMpredict: the accuracy of forward trunk lean left lateral trunk lean, right lateral trunk lean, and wheelchair push-up. We examined the overall accuracy rate of COMpredict and established a confusion matrix to show the performance of our threshold-based algorithm (Table 1).
| Confusion Matrix Result of COMPredict | |||||
|---|---|---|---|---|---|
| Actual | Forward | Left | Right | Pushup | Null | 
| Forward | 89.47368421 | 5.263157895 | 3.50877193 | 0 | 1.754385965 | 
| Left | 4.761904762 | 92.06349206 | 0 | 0 | 3.147603175 | 
| Right | 3.147603175 | 0 | 90.47619048 | 0 | 6.349206349 | 
| Pushup | 33.95081967 | 0 | 1.639344262 | 70.49180328 | 4.918032787 | 
Spinal Cord Injury (SCI) is becoming more common among the elderly and affecting their quality of life and increasing healthcare costs, thereby adding additional financial burden on the society. Wheelchair users with spinal cord injury have a higher risk of developing pressure ulcers due to limited mobility and the countless hours they spend in the wheelchair, exerting pressure on the points of interface between the bony structure and the wheelchair cushion. Nearly 70% of elderly patients develop pressure ulcers, which in turn significantly increase the healthcare management and costs and can be a cause of pain, discomfort, loss of independence and mobility in not only the elderly but also the younger patients. Mobile technology can be utilized to provide a technological solution to preventing pressure ulcers. An app was designed and developed to notify, walk through the process of weight shifting and also track the movements of the patient performing weight shifting using the accelerometer and a pressure sensor mat.
The results of our threshold-based algorithm show that it has a relatively high performance in most weight off-loading exercises except for the case of the wheelchair push-up exercise. Although these data provide, to our knowledge, some of the evidence to show that prompting a patient helps them remember to perform weight off-loading, the sample size was small (n=10). The result nonetheless matters given the lack of previous study in this area. For further work, we plan to enhance COMpredict to increase the prediction rate of the wheelchair push-up test.
The funds from the Miller Dwan Foundation grant supported this work. My sincere thanks to the Essentia Health and the Miller Dwan foundation to support this effort.
Author has disclosed that he has no conflict of interest.