Research Article - (2023) Volume 10, Issue 2
Received: 15-Feb-2023, Manuscript No. JLOP-23-89409;
Editor assigned: 17-Feb-2023, Pre QC No. P-89409;
Reviewed: 28-Feb-2023, QC No. Q-89409;
Revised: 06-Mar-2023, Manuscript No. R-89409;
Published:
13-Mar-2023
, DOI: 10.37421/2469-410X.2023.10.47
Citation: Hussoon, Muhammed Abdul. “Disproving Constancy of Light Speed in Special Relativity.” J Laser Opt Photonics 10 (2023): 67.
Copyright: © 2023 Hussoon MA. This is an open-access article distributed under the terms of the Creative Commons Attribution License, which permits unrestricted use, distribution, and reproduction in any medium, provided the original author and source are credited.
Statement of the problem: There is confusion between the classical experiment conditions and Special Relativity ones concerning Velocity– Sum. As to the classical experiment, the v-s is usually conducted through the moving space of the source or even in the free one. Whereas the experiment of (SR), needs only the moving space of the source for measuring Light velocity. But the known astronomical experiments, (whose results were reflected on “Constancy of Light Speed”), did not contain the scientific conditions of Special Relativity experiment. Therefore, the results of Relativity of Simultaneity Equations have been inconsistent with the physical laws.
Content: The experiment of the jet in 1971 verified the influence of Lorentz-Einstein (L-E) Factor for (Time – Dilation) on the atomic clocks, due to high electromagnetic energies that obstructed the movement of those clocks. From this point, if the scientists at the time had sent a light beam inside the same jet plane, that beam would have been subjected to the same (L-E) Factor of mass, length and time dilation. This sense is supported by the First Einstein’s Postulate which states that physical laws are the same in all different inertial frames. Here, his postulate does not except Light Speed - as a physical law - from the group of Length, Time Dilation in any inertial frames like jet plane. For this reason, the solutions of the simultaneous equations of Albert have not been consistent with the physical laws. According to this analysis, the researcher has reached the solutions of these Equations without any contradictions with the First Postulate or with the physical laws.
Conclusion: There is an error in the astronomical experiments for measuring v-s that were conducted in the free space of the cosmos that resulted in contradictions between Relativity of Simultaneity Equations and the physical laws. In this paper, the researcher could specify the faults of those experiments, and thereby he could find out the scientific solutions of the equations, and could conclude that Constancy of Light Speed in SR is fallacy.
First Postulate • Constancy of Light • Moving space • Free space • Special Relativity
As it is known, Constancy of Light Speed for all observers is a principle related to Special Relativity. This principle means whatever velocity of the source is very high, the result of the addition of this source and Speed of Light, equals 300000 km/second, regardless of the observers’ velocity. For the past scientists (including Albert Einstein), they had adopted this principle due to what so called the practical-experiments, particularly the astronomical experiments that gave constant results for Velocity Sum. This research is a scientific investigation for a (topic) that has been discussed for more than a hundred years. This scientific investigation deals with the problem in a physical and mathematical analysis, as well as the analyses of the classical and modern experiments that have led to disproving Constancy of Light for all observers. This research aims to reveal the ambiguity from those experiments that have been conducted without scientific conditions. For this reason, the past scientists failed for getting the scientific results concerning Velocity-Sum in Special Theory of Relativity for Albert-Einstein.
The researcher has started from the essential and the most important problem in Constancy of Light for all observers in SR concerning the wrong equations of SR. The researcher connects this problem with the astronomical experiments and Michelson-Morley’s experiment that were all the base of what so-called Constancy of Light Speed. The researcher starts from the roots of this problem by another concept concerned with the physical logic that refuses the concept of: (regardless of the observers’ velocity). The researcher here connects between what is logic and what is not, by invisible strings between the classical physics and the modern or special one in this connection. These strings will be visible through the scientific analysis for Velocity-Sum experiments. By this analysis, the researcher has arrived at the scientific conditions for these experiments through which, the researcher has distinguished between the correct and incorrect experiments, and consequently the researcher applied these correct conditions to the experiments that had been conducted by the past scientists regarding the astronomical experiments for more than a hundred years concerned with (V-S) in SR. But after analysing these experiments, the researcher found that all past scientists had not been paying attention to the conditions of the scientific experiments in this connection. For these reasons, the previous scientists-regarding this topic-stated that Velocity of Light for all observers have been constant regardless of the movement of the observers [1-3]. In this work the researcher has dealt with Constancy of Light by the scientific styles for exposing the inaccuracy in the theory, by the physical and mathematical analyses. Thereupon the researcher has exposed a fault concerning the conditions of Michelson-Morley’s experiment-that has previously supported Constancy of Light Speed in SR. Furthermore, the researcher has analysed the experiment of the jet plane regarding the atomic clocks for time dilation that verified the relation to Special Relativity by Lorentz-Einstein’s Factor (LE) F, [4,5]. And got results that supported his research. Furthermore, those wrong experiments affected the essential problem in the Special Relativity regarding the contradiction between Relativity of Simultaneity Equations and light laws that reject the solution of (C+V) by the simple arithmetic that gives us a total more than C which asserts an error in the astral experiments that Al-Bert had depended upon in his Second Postulate about Constancy of Light Speed. The roots of the problem go back to the past scientists who missed to consider the scientific conditions for such as that experiment and the differences between the classical experiment and the Special Relativity one at (V-S). First of all, it is necessary to show that the classical imagination adopted by the past scientists-including Albert Einstein- to add the high velocity of the source to Speed of Light in SR experiments, is similar to someone who wants to add a velocity of a vehicle to a velocity of bullet or a stone (as a projectile). For this reason, the previous astronomical scientists had just depended upon this style of the classical experiments at V-S in Special Relativity and consequently they got C as a constant velocity in all their experiments [6]. This initial concept is what led those scientists to conduct their astronomical experiments in a wrong way. Those previous scientists-in this imagination-should have recognized the difference between the special velocity experiments and the classical velocity ones or between projectiles and dynamics as (photons) in this connection. Therefore; the researcher has presented three principles through which he could specify the velocity of light as Dynamic within any moving inertial system w. r. t the earth observer.
The main principles for the correct experiments
First principle: There is no Velocity-Sum for two velocities unless both of them are related to each other in the same inertial reference frame that the starting point of a bullet or a stone should be within the moving space of the source.
Second principle: A-For the classical experiment for V-S, it usually deals with the projectiles. Projectiles maintain the velocity when they transmit from the moving space of the source (the real experiment) to the free space at V-S. B- For the Dynamic photons, in the Special Relativity experiments they change their velocities when they transmit from the moving atmosphere of the source (the real experiment) to the free one that both of the two spaces are different from each other in SR experiments concerning electromagnetic energies that have been generated by the speedy source.
Third principle: For a successful experiment for Velocity-Sum, the observer should be in another inertial system, otherwise the experiment will be incorrect, that is to say: The results that the inner observer gets, just differ from the results of the outer one. From these principles, the researcher will start to analyse the scientific experiment conditions. According to the three principles mentioned above, the researcher could distinguish between the correct experiments and incorrect ones concerning V-S. The researcher starts his analysis according to these principles and any lack in the conditions will result in a fault in the experiment.
The analysis of the experiments according to the main principles
The Classical Experiments: The Classical Experiments Supposing a bullet starts from a moving space related to a train moving at a constant velocity. In this state the Velocity-Sum experiment (for the train and bullet) will be correct and successful, because the fired bullet belongs to the same inertial system of the moving space of the train (first principle). If the bullet gets out of the moving space of the source-like a train-to the free one, the measurement of the bullet velocity in this space is also correct because the bullet is a projectile that maintains its velocity at the free space (second principle). As for the classical experiment, it does not occur within the free space unless it starts in the moving one (the first principle of the V-S experiment). But this experiment leaves its effect on the free space for maintaining the same velocity as a projectile when it goes out of the moving space, due to the nature of projectiles which differ from dynamic photons in the spaces of SR experiments. Thereby the projectile may be measured through two spaces: during its passing within the moving space, and the free one, that both of them give the same results. For Albert-Einstein, he had applied the classical style of projectile of the low velocity to the SR experiments of the high velocities that create dynamism which changes light velocity after any transition from a dense medium to the vacuum of the free space, as it will be mentioned later on.
The special relativity experiments
Any speedy system that travels at special velocity, creates a level of electromagnetic energies within and around it, like the speedy free electrons that generate electromagnetic waves, [7] pages 3& 4, [8], due to high velocity of these Electrons and like the experiments of the speedy jet planes in 1971 that asserted Time Dilation in accordance with the principle of Special Relativity by (Lorentz-Einstein Factor). In this connection, the researcher attributes time dilation in that jet to the high energies that delayed the movement of the atomic clocks due to high velocity of these jets. Starting from the first principle of the Velocity-Sum in this research, light velocity measuring should be during light passing within the moving space of (the real experiment) of any inertial frame in S R. As for the Second Principle, the projectile could be measured in the free space (after the real experiment), but light velocity measuring in Special Relativity experiment should be far away from this free space that belongs to the general relativity, because light is dynamic, it changes its velocity as soon as it gets out of the moving atmosphere of the star that full of energies that affect the light velocity. In other words, light gets its velocity back (which is 300 000 km/s) when it reaches the stationary space (after the real experiment). Therefore, the past experiments for light velocity should have been run during light passing in the moving atmosphere of the moving star before changing its velocity in the free space. It is similar to the experiment of water or glass in which light is obstructed until it gets out from these mediums and gets its natural velocity back for being dynamic (not a projectile). This is the first principle of Velocity -Sum experiments that applied to light velocity in the electromagnetic field, like the experiment of 1971 that asserted time dilation in that moving space. Therefore, a light beam should have been sent in that moving space of that jet plane because that light was in the same inertial system that contained the atomic clocks which were influenced by time dilation. Therefore L-E Factor should include all the objects in the jet plane like light velocity, and time dilation according to the first postulate of Albert Einstein that states, “The laws of physics are the same in all inertial reference frames” [1] pages 37&38, [9]. Thus, if Einstein’s postulate was correct, light velocity would be subjected to the same Lorentz-Einstein (L-E) factor that includes the variable group like atomic clocks, length, mass and the twin paradox, because light velocity itself is one of these physical laws that the postulate has referred to, otherwise Einstein’s postulate is not right. This variable group mentioned above is a result of a comparison between the two inertial frames, and this comparison gives us physical reflections that are exposed by the outer observer (third principle), whereas-for the pilot as an internal observer within the jet-he may not recognize the variable group in his jet for being both the sides are in the same inertial system or being the pilot as a an inner observer. As for the electromagnetic energies, they are the direct physical cause that connect the high velocity of the source with Time-Dilation, and that are generated by the high velocity of any objects or particles that gave the scientists the practical evidence for Time Dilation which is connected with high energies in that jet. These electromagnetic energies are responsible for obstructing the movement of the atomic clocks or light velocity. Therefore, these energies play the important role in Velocity-Sum experiments, either in the SR or in General Relativity like the gravitation of the Sun (as energies) that affects the light speed in the astronomical experiments and then time dilation in these fields which are nearby the Sun or the great planets [10,11]. The error in the V-S experiments for adding light speed to the source velocity in (S-R), resulted in a new problem regarding Relativity of Simultaneity Equations between the two events within any speedy moving source like Einstein’s train, that any failing in the equations affirms the invalidity of these equations for SR.
Thus, light velocity within any speedy moving space should be measured
by Lorentz-Einstein Factor for Time Dilation as follows:
The formula mentioned above is supported by the First Postulate for Albert
Einstein that does not except any physical law in any inertial frames, otherwise
his principle contradicts itself through Special Relativity experiments
regarding Light-Velocity. It is obviously that Albert had breached his First
Principle when he excluded Light-Velocity from the variable group. By the
new mathematical formula previously mentioned, Relativity of Simultaneity
Equations between the two events will be solved in this research and the
contradictions between the equations and the physical laws have been lifted. The new formula works according to the fast moving space, which
is saturated with the high energies within this space. It is Unlike the past
equations that have been solved according to the results of the astronomical
experiments that were run outside of the moving space or atmospheres of
the stars. Moreover, the researcher, presents another physical evidence that
supports the relation between Time Dilation and Light Delay, which is called
the geometric evidence.
The geometric evidence
For Time Dilation, Lorentz & Einstein assumed light beam moves up and down-in a speedy train- by a mirror. From this assumption they got Pythagoras triangle which resulted in L- E Factor for Time Dilation by their known transformation [12] page: 42-44. Through this geometric experiment, they supposed that light and time had started together, moved up without separating from each other and down together without separating, and they stopped together at the same time, in other words, Lorentz and Einstein had dealt with the time as an anonymous factor before the experiment, but by the geometric transformation, they got a known time from the known velocity of the light and the train. But, finally Lorentz and Einstein separated the result of Light velocity from the result of Time -Dilation in that transformation and then they only acknowledged the result of time-dilation, whereas light velocity in that geometric experiment was the real indication and the cause that led to Time Dilation. Although they depended upon the light movement for getting a specific law for the time movement in the fast train, they kept light velocity as it is to be C without any changing, unlike Time Dilation that was identified by (L-E) Factor. This state asserts that there was confusion regarding the analysis of the results of this transformation that led to Constancy of Light, because those scientists had ignored the real-mathematic results of this transformation due to the classical imagination regarding V-S that affected all the astronomical experiments in this connection.
The essential analysis for light velocity in SR
The researcher has endeavoured to present (SR) by a simple and deep explanation related to the causes that are beyond this phenomenon. Due to its strange physical consequences that have been kept as they were without any logical or scientific interpretation since the emergence of this theory. The most important point in (SR) is Lorentz -Einstein Fa4
The researcher starts his analysis from this physical factor through an example about a train that travels 240 000 km/second that results in Time Dilation within the train=1/0.6=1.6666666 second. It means that when a light beam travels a distance=300,000 km on Earth during one second, another light beam travels the same distance (300000km/s) on the train during 1.6666666 earth seconds, because there is a difference between the two observers concerning time. First of all, it is necessary to know why light velocity on the earth travels 300 000 km/s w. r. t. the earth observer and why it is the same velocity in the train for the passengers, despite that Time Dilation exists only on the fast train. The equations mentioned below will show that, as follows: Light velocity on the earth (for the earth observer)

As for (Equation 2), Man should recognize the full second in the train that=1.6666666 seconds. Thus, 1/1.6666666=0.6.
I. e. one earth second=0.6 of the train second as mentioned above, therefore light on the train travels less than 300000 km/s during one earth second that equals 0, 6 of train one, in other words, if the earth observer sees the light beam travels in a distance= 0, 6×300000=180000kmon the train during one earth second, the passenger sees the same light beam in his train, but during 0.6 from his full second on the train. Thus, the passenger sees light velocity on the train also 300000 km/second, because the distance that light travels on the train=180000 km during 0.6 of his own time that leads to: {velocity of light in the train180000/0.6=300000 km/second}, in spite of light delay that exists in his train. Since that 0.6 of the passenger second=1 earth second, then the distance that light travels on the train =180000 km w.r.t earth observer, but velocity of light in the train for the passenger=300000 km/s for his own time, as mention above. But, with respect to the earth observers, they see velocity of light on the train=Distance/time=180000/1=180000 km/second for their own time. But for the passenger, the equation will be: 180000/o,6=300000km/s, as an inner observer. Therefore, we get a different equation for equation (2), but it results in the same velocity of light in equation: (1) because both of the two equations are related to inner observers as the following:
Velocity of Light in the train for the passenger=Distance/Time

It is obviously that we have got two equations mentioned above 1 & 2, (gave the same results) for the inner observers: one of them has represented the stationary inertial system for the earth observer and the other one has represented the moving inertial one of the passenger that both of them result in the same results that match the first postulate of Albert Einstein through which he had asserted that physical laws remain the same in all different inertial reference frames. Therefore, both equations, 1&2 gave the same results that equal C or equal 300000 km/s as one of the physical laws that are included by this postulate concerning the inner observers (unlike the outer ones that see the results of the comparisons between the two inertial frames). Here we should return to the second equation. It is the mathematical- physical base that this research has depended upon. And it is the equation that related to the high energies in the train, the energies that previous scientists have ignored in SR experiments.
The comparison between the equations in the different inertial systems
These two inertial systems mentioned above are represented by Equations 1 & 2.
If the Earth observer wants to know the velocity of light in the train or the opposite; if the passenger wants to know Light velocity on the earth, every observer will see the Light velocity differently. For the (Earth Second as time), differs from the (train Second), due to the (complete Earth second) which equals (0. 6 second) of the complete train second which is (1.6666 seconds) by (1/1.66666=(0.6) according to the example mentioned above. It means when (one full earth second) passes on the earth, in the same time it passes only 0. 6 second (of the full train second) on the train. For structure comparison equations between the different inertial frames of the inner observers, one should take the information from the intersection of the fundamental equations (1 & 2) for shaping the Equation 3 or 4. I.e. for the earth observer, he could take the information of equation 2 for the train, but with the time of equation 1 of his/her own earth second for getting light velocity on the train as follows:
The intersection between

The equation mentioned above is: Equation 3 for light velocity in the train or rocket w. r. t the earth observer. These equations 1 & 2 mathematically typify the principle of Einstein about his First Postulate-for the inner observers- either on the earth or on the speedy train: (The laws of physics are the same in all …) that concerned with the equations (1 & 2) that both of them are the same for the velocity of light that equals C as one of the laws that the postulate has referred to. So the equation (3) which is depended upon the equations 1&2 is right because it came from right physical equations that match the postulate mentioned above. It means the passengers feel that all laws are alike either during flying or after landing, although the two instances come from different inertial systems). Thus, it is impossible to make an exception to light velocity or mass or length in Special Relativity experiments at the comparison, otherwise the first postulate would face troubles at the comparison between the two inertial reference frames just like the troubles that came from Constancy of Light Speed that led to the wrong simultaneous equations, because any exception-to Light Speed or Length or Time dilation - without doubt breaches the previous Principle and the Physical laws in particular the equations that disagree with the light laws as a result of this exception to Light Speed. Namely (Lorentze-Einstein)’s Factor must contain all the physical laws in the inertial frames in SR, including Light Speed or else the First Postulate of Albert Einstein is invalid. For these physical causes, the researcher has suggested a practical experiment in the nuclear reactors that the research will mention later on.
The analysis of the astronomical experiments
The astronomical experiments were achieved in a classical mode at (Velocity-Sum). The past scientists did not measure light velocity within the moving atmosphere of the (moving stars), they measured it after its exit from that (moving space) or the atmosphere of the star which is saturated with the electromagnetic powers that hamper the light movement in these fields similar to the moving space of the speedy jet which hampered the movement of the atomic clocks. From this analysis we could find that the movement of the light and the movement of the atomic clocks depend on the same L-E Factor that includes mass, length and time-dilation without exception to any one of them that led to First Einstein’s Postulate that includes all physical laws. The principles of Velocity-Sum conditions that are put by the researcher (2.1), have distinguished between the correct and incorrect experiments, that led to exposure of the real field of the SR experiment, due to the properties of Dynamic photons of light, in comparison with projectiles. The correct astral experiment with the moving atmosphere is presented in (Figure 1).
The free space (cosmic space) that the past scientists – inside whichrun the V-S experiments, is not a part of the real experiment field, that the free space is related to the General Relativity space which is only valid for the classical experiments that have no electromagnetic energies and that is only valid for projectiles’ experiments.
Michelson-Morley’s experiment
As it is known, all of the past experiments, including the experiment of Michelson-Morley (M-M) have disproved what the so-called the Absolute Aether in the universe as well as the experiments that based on what the socalled the Aether drag hypothesis that all resulted in negative consequences, and consequently, the scientists believed that light beams propagate without medium [13-16]. But As for this paper the researcher has exposed-through his physical analysis-that there is a cosmic medium for light propagation, and this medium comes about by the phenomenon of Big Bang, which generates the electromagnetic energies due to its great speed. Through this cosmic phenomenon, these energies are generated in every part of the universe in the vacuum and within the matter, similar to the speedy and free electron, which generates the accompanying electromagnetic energies within and around it. This cosmic phenomenon makes all the parts of the universe interconnected by these energies. As for the earth, it also increases its electromagnetic energies by its two speedy movements in the solar system as additional energies that put the experiment of Michelson-Morley within the modern experiments like the experiment of SR, and these additional energies make the earth a different inertial frame and valid for comparison with the external observer of the earth. As for Michelson and Morely, they had dealt with that experiment in a classical way, whereas it was one of the dynamic modern experiments, similar to the experiment of Special Relativity that dealt with dynamic maths like Lorentz-Einstein Factor that exposed Time-Dilation inside the moving source. Therefore, the results of M-M’s experiment clashed with the results of the classical swimmers’ experiment. The Michelson-Morley`s experiment should have placed the observer outside the Earth's atmosphere, just like the twins experiment of Special Relativity, that one of them must be outside the experiment to measure the changes inside the plane, and similar to the external atomic clocks that observe the internal ones on the jet plane, due to high electromagnetic that exists in the moving frame. For this reason, the mathematical results have differed from the classical swimmers’ experiment. Briefly: The internal observers (Michelson and Morley) had got results=zero, similar to the pilot as an internal observer on the plane that also gets negative results for being in the same inertial frame of the experiment. For this reason, M-M’s experiment have not exposed electromagnetic energies of the earth movement that affect the light velocity, for being the internal observers were included by the electromagnetic energies of the earth, like the pilot that travels 30 km/s but he is disable to expose Time-Dilation in his system or the contraction in length, due to the constraints of First Postulate of Albert Einstein that prevent any changing in the physical laws in all different inertial frames. The researcher presents another example to support this point by the dynamic modern experiments of SR that dealt with simultaneous equations by classical and simple maths, whereas these equations need dynamic maths related to the high velocity of the source to get over the problem of the contradictions with the physical laws in this theory. From this physical fact, the researcher concludes that the electromagnetic energies that obstructed the movement of the atomic clocks, are accumulations of electromagnetic energies which exist in the jet plane due to high velocity that increases the energy of the jet to be the cause of the slow movement in its space, similar to the speedy muons that also generate the electromagnetic energies due to high velocity that affects lifetimes of these muons by Time-Dilation [17,18]. These energies emerge only at the comparison between the two inertial systems, by the external observer, (the third principle) in this research that could expose the role of the comparison between the atomic clocks which were put on the jet and the others that were put on the earth. Moreover, if a pilot on a jet performs the experiment of M-M in his speedy jet, he will see the velocity of the various light flashes in all directions in the jet=(300000 km/sec) because both of the observer and the light flashes are all in the same inertial frame. Therefore, the pilot cannot feel or be aware of it, unlike the external observer. Thus, the results of the various light beams for v-s in the jet plane are negative or alike for the pilot. Go back to Equation two. For all these causes, the researcher has put the physical solution of this experiment by L-E Factor in this research. The cause that affects the decelerated clocks is the energies which also affect Light Velocity, that both of Light and the atomic clocks belong to the same level of density in the jet which affect the movement of all components of the moving inertial reference frame, and any separation between them is considered a fatal fault which affects the equations results as a mathematical and physical evidence in this respect. Moreover, this separation between Light Delay and other variables distort the postulate of Einstein that states: (the laws of physics are the same in all different inertial frame) that does not except any physical law from his postulate. Further, that is an error to mix General Relativity experiments with the Special Relativity ones regarding the difference of level of energies in the different spaces for each other. As for Albert Einstein, he had not paid attention to the high energies within SR space, and consequently, he depended upon the primary arithmetic for his equations regarding the relativity of simultaneity.
These energies should have been dealt with particular maths, like (L-E) Factor or the law that will be mentioned below, which also deals with the high energies but without moving spaces, for example: (200, 000 km/s+200, 000 km/s =?). This special problem cannot be solved by the simple arithmetic, because this problem is related to the dynamic energies that have been specified by the following law:

that must be result in velocities less than C. In this connection, this
special and practical law is fit for the mathematical problem mentioned
above due to the high energies that obstruct the movement and the
time through this practical experiment, like the very fast protons
that clash with each other in the lab. They are full and surrounded
with high energies that relatively decrease the power of the clash
according to the total of the velocities of the two protons by the law
mentioned above that results in a velocity less than C. For a scientific
experiment at velocity - sum in SR, one should be aware of the high
energy within the fast-moving space that affects any movement in
this space, and should be aware that Light is dynamic for it returns
to its natural velocity in the free space of General Relativity after the
real experiment. Therefore, light velocity within any speedy space
should be:
, rather than C, in accordance with First
Einstein’s Postulate or else any one will be compelled to solve all
mathematical problems (regarding Light) by the incorrect ways.
According to the physical analyses that have been performed in this research, the researcher has exposed the error of the astronomical experiments that connected with SR, as well as the incorrect experiment for Michelson – Morley. By these analyses, the researcher could put these principles or the conditions. These analyses have depended upon the scientific and experimental facts that led to the correction of the relativity of simultaneity equations that the researcher will present below. As for the equations, the researcher will present the results of the mathematical solutions of the simultaneous equations for Einstein’s experiment and Michelson - Morley’s one, as well as the astronomical experiment and Light Velocity in the nuclear reactors experiment as a result of all the physical analyses that were mentioned in this work for disproving the second postulate of Albert Einstein concerning Constancy of Light Speed in SR.
The solutions of relativity of simultaneity equations in SR
According to the example that will be mentioned below that is related to Relativity of Simultaneity, any physicist can expose the contradiction between the previous equations and the physical laws through a train travels 240 000 km/s, with length=5 400 000 km, supposing two light beams start from the middle of the train towards the front and the rear gates for opening them. The example represents two events. As for the passenger, the two gates are opened in the same time, but as for the outer observer, the two gates are opened at different times. According to the known basic concept of Constancy of Light speed in SR, light velocity ± speedy source=C =300 000 km/s, regardless of the motion of the observer. This concept or postulate could not solve the simultaneous equations by scientific method that matches light laws. As to the equations mentioned below, which are related to Einstein, they had been solved at the time by Einstein as follows:
1-T1=L/C – V, 2-T2=L/C+V
He had tried to add light velocity 300 000km/s to the rear gate of the train that travels in 240 000 km/s by this arbitrary way [19], that the result 540,000 km/s (of two velocities) is contrary to the physical laws that refuse any result of V-S more than 300,000 km/s. As it is known, the equations mentioned above are put by Albert Einstein according to Michelson - Morley’s results and the astronomical experiments ones that both of them are incorrect, thereupon, his solutions for relativity of simultaneity equations are also incorrect. As for the equations mentioned below, they will be the decisive response against the so-called Constancy of Light Speed in SR - for being able to accord with physical laws, unlike the previous equations.
These previous equations are changed into other formulas by the researcher in this paper through four steps for arrival at the correct formulas as follows:
First step: Length should be included by length contraction factor of Lorentz – Einstein which is:

Second step: About C which is also subjected to the same factor of length, mass and time dilation, because all of them are in the same inertial reference frame, and according to the previous analyses that exposed the error in the astronomical experiments whose results have been wrongly inserted in the relativity of simultaneity equations, C should be changed into:

This formula is a result of the analysis of First Postulate for Albert Einstein: The laws of physics are the same in all inertial reference frames. (Including light velocity law).
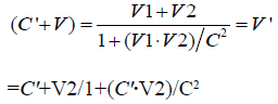
Third step: The third problem that is about C in the first equation through which light travels in the same direction of the train, it should be changed into two velocities of (Light+train) to be (C'+V) as an (additional step) instead of C in the first equation.
Fourth step: According to the second step mentioned above, Light velocity would be less than C, Thereupon Light should be subjected to a new mathematical law that applies to any speedy proton. Thus, any (C'+V) should be put through a special law for high velocities that fit for (protons v-s). In this respect, although the velocities are high, this law will result in velocities less than C as mentioned below:

So, the past equations will be as the followings:

Thus, the alternative equations of the Relativity of Simultaneity of the train will be as the following:

(37) Seconds for opening the front gate, in return for the past equation for Einstein that resulted in (45) seconds.

(5,708) seconds for opening the rear gate, in return for the past equation for Einstein that resulted in (5) seconds.
The digital results for the steps of equations for the train:
The result of Lorentz Factor for a train travelling 240 000 km/s=0, 6 second:
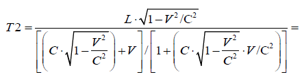
The needed time to open the front gate (according to T¹=L`/(C `+V) – V) as the following steps:
Step 1: C’=0.6 × 300 000=180 000 km/s light velocity that represents V1
Step 2: 180 000+V2 (the velocity of the light which is in the same direction of light as a first step for knowing the needed time to open the front gate).

(Velocity of light within the train in the same direction of it w.r.t outer observer).
Step 3: Velocity of light within the train-velocity of train=(283,783) -V)=283 783 – 240000=43 783 km/sec (the difference between the two velocities).
Step 4: The last step of (T¹=L ‘/(C’+V) - V)=(T¹=1620000/43783=37 (Seconds) for opening the front gate w. r. t outer observer on the earth. The needed time to open the rear gate (according to equation 2=L`/(C `+V) The step below is similar to the step 2 of equation 1 mentioned above, that light velocity in the train is the same in all directions that equals 180000km/s according to the steps mentioned above. Therefore, Light velocity+Rear gate velocity =

=283,783 km/sec (as a first step) in return for the past equation for Einstein that resulted in 540,000km/s as a total for two velocities (Light V+the rear gate V).
A. The last step of the equation 2

For opening the rear gate (w. r. t) outer observer on the earth. The time difference between the two events in the train is: 37 – 5,708=31.292 seconds for the earth observer.
The two simultaneous equations (T1, T2) mentioned above are a result of a complete scientific harmony among three axes that are: The physical laws, the correct structure of mathematical equations, and the correct experiments. These axes shape the scientific ground for disproving the past equations and then Second Postulate of Constancy of Light Speed for all observers. These axes are an evidence for the existence of a clear error in the past astronomical experiments for (Velocity-Sum) regarding the incorrect results for these experiments, that created what the so - called Constancy of Light which is unable to solve these equations by a scientific method that matches with light laws.
Solution of Michelson-Morley’s problem
First of all, it is necessary to refer that earth physics, moving stars physics and the speedy train physics are the same, because all of them have (moving spaces in high velocities).
Thereupon, the problem of (speed of light ± velocity of the Earth) would be solved by the same physical principle of the train, (but without gates) as follows:
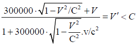
A-Speed of light against direction of earth movement: Before solving the mathematical problem, it is important to repeat that the velocity of light in all the mathematical problems is measured through light passing inside the (moving atmosphere of the source). This is similar to all other mathematical problems in which light is measured only inside the moving spaces. This is as the mathematical solution, but practically, the observer should be outside of the earth as we previously mentioned. assuming that speed of light is exactly (300 000 km/sec) before the experiment. The total number of the two movements of the earth=30.5 km/sec.

(Against the direction of the earth movement), i.e. the delay of light is only 1.5 metre/second, w. r. t. an observer who exists outside of the Earth atmosphere
B-In the direction of the earth movement: V1= 299,999998.5 metre, V2= 30500 metre of Earth.

= 299,999,998.7 metre/sec, velocity of light in the direction of the earth w. r. t the observer out of the earth’s atmosphere), i.e., the difference is only 1.3 m/sec. Assuming that speed of light is exactly 300 000 km/s and regardless of the gases that obstruct light velocity about 0.0003 C. Michelson & Morley’s experiment had not any scientific results for light velocity case on the earth, because of their way which could not exposes the differences of light velocities by the comparison.
Solution of the problem of light velocity within the moving atmosphere of the star during the eclipse
Light velocity against direction of the star which travels 85% C:

Light velocity in direction of the star which travels 85% C:

Light velocity against direction of the star (as the first step).
B. The last step:
V1=158 034 km/s
V2 =85% of C =255 000 km/s.

Velocity of light in direction of the moving star within its moving space.
Light velocity within all moving spaces in the mathematical problems above has become less than Speed of light C, for these moving frames are full of high energies that obstruct light velocity like the obstruction of light velocity when light passes close to any great star by its gravitation or when it passes within the moving space of the jet plane unlike the classical velocitysum that has no energies due to the low velocities that need not any special factor for V-S.
Experiment in the nuclear reactors
Finally, this theory may be typified by an experiment in the nuclear reactors for verifying all of the physical analyses in this research that have been based on realistic and scientific facts. In this experiment, scientists firstly send a model of a glass tube at a very high and constant velocity, during this experiment two light beams should be sent within the moving space of the tube, one of them should be sent in the direction of the tube movement and the other one should be sent against the direction. Here, Light velocity should be measured when light travels during its passing within the tube, in the case of light going and coming in this moving space. The results of nuclear reactors experiment would be in accordance with the following equations:
Light velocity in the direction of the model movement.

Light velocity against the direction of the model.

The two equations mentioned above have been solved by the scientific way for being far from the contradictions that came from the astronomical results that were the original trouble of the past equations. Thereupon, Light velocity in the model=v’ < C for the high energies that accompany the speedy tube and obstruct light velocity in this experiment like the muons experiments that play a part in Time-Dilation.
The velocity- sum idea is presented in (Figure 2).
The scientific analyses carried out by the researcher in this paper have shown the fragile areas in Special Relativity through the existence of states of chaos and lack of coherence in Constancy of Light. In this discussion, the limits of this chaos will be clarified to recognize the facts or instances behind it through the following question: Since Albert Einstein, the discoverer of Special Relativity has acquiesced to his mathematical solution in this way, the question will be: Do the natural laws follow the scientist or vice versa???!! What he presented here in Modern Physics is a great achievement, but as a Modern maths for synchronous equations, the matter is different, for he solved the equations by the simple arithmetic that results in the wellknown problem. Thereby, we address some questions in this respect: Why did Einstein put solutions to the synchronous equations of his train in a classical way that contradicted the light laws in his Modern SR???!!! Are the synchronous equations a product of errors in the laws of nature or errors in the astronomical experiments???!!!... And then: Do these classical equations deserve the title of modern like the modern experiment of SR???!!!!.... The word “Modern“ has not been consistent with Special Relativity in the full sense, because it needs the most important tool, which is the {modern maths} that related to the mathematical derivations of high velocities in special experiment for high velocities, that are related to the energies in SR experiments like Lorentz – Einstein Factor. Unlike the classical experiments that have no energies. When Albert Einstein and Lorentz wanted to verify mathematically the amount and limits of time, they did not resort to the simple arithmetic for it is unable to achieve this purpose. Thus, they used the mathematical derivation that was based on the speed of light and the velocity of the source to produce (L-E) Factor for time dilation. But as to Light Velocity, Einstein had rejected this derivation (which corresponds to the nature of the experiment and the content of his First Postulate). Therefore, he was between two contradictory cases: the results of equations and the laws of light. Thus, his solutions were just theoretical solutions (on papers only) and had nothing to do with the physics of SR. Therefore, the researcher has seen that the weak point in Special Relativity is the duality in its contradictory aspects. Hence, there is a question that is directed to the scholars and specialists: Why did the author of Special Theory of Relativity accept this duality that is inconsistent with the modern identity of Special Relativity??? The nature of these reasons is rooted in the prevailing belief of the classical V-S for Newton and Galileo. The final points here that the well-known concepts which the physicians adopt today, that they do not accept any theory or scientific principle without the following conditions: 1- Any theory should be verified by a scientific experiment. 2- This scientific experiment should be supported by the maths. 3- It should not be contradicted by any laws of nature. The response for this case is the following: 1- The errors in the astronomical experiments of V-S in Special Relativity (concerning light and source) are all a reflection of principles of Galileo for low velocities with projectiles that are not appropriate for SR experiments for being gave incorrect equations. 2- There is no mathematical or physical evidence that proves the validity of the astronomical experiments for velocity-sum in SR. 3-There is an evidence in Special Relativity experiments that proves a contradiction with the law of light, which rejects the way of V-S that totals more than C. The three responses mentioned above are sufficient scientific evidence of refusal to Constancy of Light Speed because its mathematical results regarding the equations have given evidence that all those astronomical experiments are incorrect. For the past scientists, they believed in the classical style for the experiments and applied it to high V-S by the primitive way as (the cart and stone method for V-S). In this paper the researcher presents this scientific and academic work in the manner of constructive scientific criticism in order to review the results of experiments by a scientific review, in order to complete the most important contemporary theory in physics that appeared in 1905, which changed many of the philosophical, scientific and social concepts prevailing for centuries regarding the concept of Time and the constant results of Light speed for all observers and the different events between the outer and inner observers. Special Theory of Relativity needs restoration in some of its aspects in order to become a logical theory and acceptable concerning both of data and results. Therefore, Constancy of Light speed is considered scientifically a shaky theory because it is unable to link all the components of the theory by the logical and scientific method.
The researcher has presented a theory that depended upon the physical, mathematical and experimental analysis away from any contradictions that Constancy of Light principle has been fallen in.
The researcher could treat this problem in this research by the following physical facts: The researcher has corrected the astronomical experiments by the physical analysis, through the first and second conditions for V-S (2.1.1, 2.1.2) that led up to the solutions of Relativity of Simultaneity Equations without contradictions with any physical law, by inclusion of light speed with the other variables like Time - Dilation, mass and length in the SR experiments that consistent with the first Einstein’s postulate which states that the laws of physics are the same in all different inertial frames, that light velocity as a physical law, is one of these laws that the postulate has referred to. In other words, his first postulate is not consistent with his second postulate related to Constancy of Light Speed which except Light Velocity from the other variables. From this point, the researcher has exposed a contradiction between the two postulates of Albert-Einstein that assert the existence of errors in the principle of Constancy of Light Speed. The researcher has corrected the conditions of Michelson-Morley’s experiment by the (external observer) or the (third principle) of V - S conditions (2.1.3),due to that the inner observers on the earth see all the physical laws work in the same way in all different ….. either the earth is at rest or not, that the First postulate is still valid for both of the cases and all physical laws are still alike as for the internal observer who represents Michelson and Morely who felt that the earth is at rest, unlike the external ones who physically consider that the earth moves and thus they have the right to run V-S experiment. Namely, all various light beams (for the internal observer) must be alike and=300000 km/s in keeping with the first postulate that states: the physical laws are the same……. For that reason, M-M’s experiment could not expose the electromagnetic energies that affect Light Velocity in the state of the earth going or coming, unlike the external observer. For Albert Einstein, he made fallacy when he depended upon the data of the astronomical experiments that have no moving space, for the sake of formulating the simultaneous equations of the speedy train that has a moving space. This obvious contradiction between the two instances led to incorrect equations that result in 540 000 km/s as a total of two velocities: {C+the rear gate} of the train that is absolutely not consistent with the light laws. The researcher has presented an experimental model to verify the Non-Constancy of Light for all observers in the nuclear reactors, by a model which is based on the scientific results of this paper for disproving Constancy of Light Speed in (SR) by a practical experiment that contains all of the scientific conditions for V-S in SR regarding the equations of light beams velocity in this model. There is no doubt that Albert-Einstein did not give any scientific analysis or mathematical or practical evidence that support the concept of Constancy of Light Speed in (SR), except the incorrect experiments that he had depended upon that had come from the classical imagination concerning V – S which could not differentiate between the classical experiments that related to the Projectiles and Dynamic ones (as photons) in high velocities’ experiments, or between the vacuum of the moving space of the classical experiments and the vacuum of the moving space in (SR) experiments which is saturated with the energies that affect the movement of the light and the time in this space, similar to gravitation (as energies) that asserted the influence of these energies on Light delay and Time Dilation nearby the sun or any great planet according to the experiments previously mentioned. All of the past scientists including Albert-Einstein did not refer to the existence of electromagnetic energies (as direct physical factor) that obstructs the time movement of the paradox twin or any component within the speedy train. This fact was verified by the jet plane in 1971 that asserted the relation between these energies and L-E factor of SR. For these reasons, the past scientists mixed the classical experiments that have no energies with the modern experiments of SR that have a lot of these energies. All these facts and contradictions previously mentioned in this paper have led to exposure about the scientific errors in Special Theory of Relativity concerning Second Postulate or Constancy of Light Speed in SR.
Google Scholar, Crossref, Indexed at
Google Scholar, Crossref, Indexed at
Journal of Lasers, Optics & Photonics received 279 citations as per Google Scholar report